醋孟南
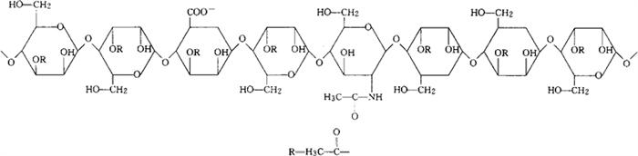
CAS-110042-95-0 从芦荟的粘液中得到的高度乙酰化多向分散的直链甘露糖的糖酐。 分子量12,000,000道尔顿。 Acemannan is a highly acetylated,polydispersed,linear mannan obtained from the mucilage of aloe barbadensis,Miller(aloe vera).The molecular weight is 12 million daltons. (1→4)-β-D-甘露糖醛酸基-2-乙酰胺-2-脱氧-β-D葡糖基-β-D-甘露聚糖3-醋酸盐。 (1→4)-β-D-Mannurono-2-acetamido-2-deoxy-β-Dgluco-β-D-mannan 3-acetate. 抗病毒药。 醋聚糖酐。 Acemannan,Polymanoacetate,Carrisyn. INN,USAN. 
|