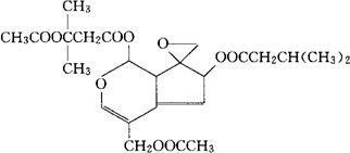
醋戊曲酯
C24H32O10=480.51 CAS-25161-41-5 1,7a-二氢-1,6-二羟基螺[环戊二烯并[c]吡喃基-7(6),2′-环氧乙烷]-4-甲醇4-醋酸酯,1(或6)-异戊酸酯,6(或1)-(3-羟基-3-甲基丁酸酯醋酸酯)。 1,7a-Dihydro-1,6-dihydroxyspiro[cyclopenta[c]pyran-7(6),2′-oxirane]-4-methanol 4-acetate 1(or 6)-isovalerate 6(or 1)-(3-hydoxy-3-mehtylbutyrate,acetate). 催眠镇静药。 Acevaltrate. INN,USAN. 
|