网站首页  词典首页

请输入您要查询的字词:

 

字词 醋柳果
类别 中英文字词句释义及详细解析
释义 醋柳果

【概况】:

异名 酸刺、黑刺(《中国沙漠地区药用植物》),大尔卜兴(藏名),契癸日戈纳(维名)。

基源 为胡颓子科沙棘属植物沙棘的果实。

原植物 沙棘Hippophae rhamnoides L.Subsp. sinensis Rousi

历史 沙棘近年来已被开发成多种保健饮品和食品。

据国外资料记载,沙棘种子油能促进人体的新陈代谢和伤口愈合,并有镇痛作用,可用治烧伤、湿疹、体表溃疡愈合不良,胃和十二指肠溃疡。近年,原苏联已将沙棘油用于宇航员的食品配料之一。

形态 落叶乔木或灌木,高可达10m,具粗壮棘刺;枝幼时密被褐锈色鳞片。叶互生或近对生,条形披针形,长2~6cm,宽0.4~1.2cm,两端钝尖,背面密被淡白色鳞片;叶柄极短。

花先叶开放,雌雄异株;短总状花序腋生于头年枝上,花小,淡黄色,花被2裂;雄花花序轴常脱落,雄蕊4;雌花比雄花后开放,具短梗,花被筒囊状,顶端二裂。果为肉质花被管包围,近于球形,直径5~10mm。

(图见《中国高等植物图鉴》.第2册.972页.图3673)

生境与分布 生于河滩、沙土环境。分布于中国华北、西北及四川、云南、西藏。

。【生药】:

采集 10~11月采摘成熟果实,晒干。

【化学】:

果实含异鼠李素(Isorhamnetin)[1~3]、异鼠李素-3-β-D葡萄糖甙(Isorhamnetin-3-mono-β-D-glucoside)、异鼠李素-3-β-芸香糖甙(Isorhamnetin-3-β-rutinoside)、槲皮素的低糖甙,山柰酚的低糖甙(Oligosides)[1]、β-谷甾醇、24-亚甲基环木波罗烷醇(24-Methylene-cycloartanol)、α-,β-香树脂醇、古柯二醇(Erythrodiol)、熊果醇(Uvaol)、柠檬甾二烯醇(Citrostadienol)、24-乙基胆甾烯醇(24-Ethylcholest-7-en-3-3-ol)[4]、类胡萝卜素[5,6]、无色矢车菊素[7]、无色飞燕草素[6],维生素C 300mg/100g以上[8~9],胡萝卜素3~4mg/100g,维生素E 10~15mg/100g,维生素B1 0.2~0.4mg/100g,维生素B2 0.1~0.5mg/100g,叶酸0.5~0.8mg/100g[10],苹果酸[11]、5-羟基色胺、哈尔醇、哈尔满碱[12],杨梅树皮素(Myricetin)、4′,5,7-三羟黄酮醇(山柰酚,Kaempferol)、槲皮素(Quercetin)及其甙、环木波罗烯醇(Cycloartenol)、齐墩果醛(Oleanolic aldehyde)、骆驼蓬灵(Harmaline)、(-)-表儿茶素[(-)-Epicatechin]、(-)-表棓儿茶素[(-)-Epigallocatechin]、3,4-二羟基苯甲酸(3,4-Dihydroxybenzoic acid)、对-香豆酸(p-Coumaric acid)[13]、乙酸、丁酸、己酸、辛酸、癸酸、月桂酸、肉豆蔻酸、棕榈烯酸、棕榈酸、油酸、亚油酸、亚麻酸、硬脂酸、正十三烷(n-Tridecane)、正辛烷(n-Octane)、正十四烷(n-Tetradecane)、正十五烷(n-Pentadecane)、正十六烷(n-Hexadecane)、正十七烷(n-Heptadecane)、正十八烷(n-Octadecane)、植烷(Phytane)、正十九烷(n-Nonadecane)、二十一烷(Heneicosane)、正二十三烷(n-Tricosane)、正二十四烷(n-Tetracosane)、正二十五烷(n-Pentacosane)、正二十六烷(Hexacosane)、正二十七烷(nHeptacosane)、正二十八烷(n-Octacosane)、正二十九烷(n-Nonacosane)、十-碳烯-1(Undecene-1)、2,3-二甲基-1,4-己二烯(2,3-Dimethyl hexadiene-1,4)、十二碳烯(Dodecene-1)、十三碳烯(Tridecylene-1)、十五碳烯(Pentadecylene-1)、十六碳烯(Hexadecylene1)、二十一碳烯(Heneicosene-1)、二十三碳烯(Tricosene-1)、二十五碳烯(Pentacosene-1)、萘(Naphthalene)、蒽(Anthracene)、1,1,6-三甲基-1,2-二氢萘(1,1,6-Trimethyl-1,2-dihydro-naphthalene)、1,3,5-三异丙基苯(1,3,5-Triisopropyl benzene)、正庚烷醛(n-Heptanal)、正辛醛(n-Octanal)、正壬烷醛(nNonanol)、正癸醛(n-Decanal)、正十三烷醛(n-Tridecanal)、正十四烷醛(n-Tetradecanal)、正十五烷醛(n-Pentadecanal)、正十六烷醛(n-Hexadecanal)、正十七烷醛(n-Heptadecanal)、正十八烷醛(n-Octadecanal)、正十九烷醛(n-Nonadecanal)、正二十烷醛(nEicosanal)、正二十一烷醛(n-Heneicosane)、正二十二烷醛(n-Docosanal)、2-壬烯醛(2-Nonenal)、2-癸烯醛(2-Decenal)、2-十一烯醛(2-Undecenal)、2-二十烯醛(2-Eicosenal)、1,1-二乙氧基-正壬烷(1,1,-Diethoxy-n-nonane)、1,1-二乙氧基-正十四烷(1,1-Diethyoxy-n-tetradecane)、4-甲基-5-庚烯-2-酮(4-Methylhepten-5-one-2)、2,2,5,5-四甲基-3,4-己二酮(2,2,5,5-Tetramethyl hexanedi-one-3,4)、乙酸乙酯(Ethyl acetate)、苯甲酸正丁酯(n-Butylbenzoate)、乙酸正壬酯(n-Nonyl acetate)、苯甲酸异戊酯(Isoamyl benzoate)、肉豆蔻甲酯(Methyl myristate)、肉豆蔻乙酯(Ethyl myristate)、棕榈油酸甲酯(Methyl palmitoleate)、棕榈酸甲酯(Methyl palmitate)、棕榈油酸乙酯(Ethyl palmitoleate)、棕榈酸乙酯(Ethyl palmitate)、十八烯酸甲酯(Methyl octadecenoate)、油酸甲酯(Methyl oleate)、亚油酸乙酯(Ethy linoleate)油酸乙酯(Ethyl oleate)、十八烯酸乙酯(Ethyl octadecenoate)、顺芳樟醇氧化物(cisLinalool oxide)、反-芳樟醇氧化物(trans-Linalool oxide)、香茅醛(Citronellal)、醇(Menthol)、α-萜品醇(α-Terpineol)、β-紫罗酮(β-lonone)、α-紫罗酮(α-Ionone)、牻牛儿基丙酮(Geranyl acetone)、六氢化法呢基丙酮(Hexahydrofarnesyl)n-Octanal,甲基丁香酚(Methyl eugenol)[14]

果汁含天门冬氨酸、天门冬酰胺、苯丙氨酸、丙氨酸、亮氨酸、半胱氨酸、组氨酸、丝氨酸、精氨酸[5]

干种子含油8%,油含2.1%非皂化物,内含玉蜀黍黄素(Zeaxanthin)、隐黄素(Cryptoxanthin)、β-胡萝卜素、γ-胡萝卜素、番茄烃(Lycopene)、谷甾醇[15]及维生素E 212mg%[16]。正十六烷至正三十四烷、2,6,11-三甲基十二烷、2,6,10,15-四基十七烷、9-二十三烯、11-二十六炔、3,7,11,15-四甲基-2-十六烯-1醇、3,7,11-三甲基-(E)-2,10-十二二烯-1醇、1-十八烷醇、3,7,11-三甲基-2,6,10-十二三烯醇、1-二十七烷醇、3,7,11,15-四甲基-6,10,14-十六三烯醇、N-苯基萘胺、6,10-二甲基十一酮、4,7,7-三甲基-双环[2,2,1]庚-2酮、2,6-双(1,1-二甲基乙基)4-甲基苯酚、2,6-双(1,1-二甲基乙基)-4-乙基苯酚、δ-生育酚、β-生育酚、γ-生育酚、α-生育酚、4,14-二甲基-麦角甾8,24(28)-二烯-3β-醇、齐墩果-12-烯-3(β)-醇(β-香树精)、α-香树精、9,19-环-9,β-羊毛甾-3β,25-二醇、9,19-环羊毛甾-3β-醇、24-甲撑、豆甾-3,5-二烯-17-酮、麦角甾-25-烯-3β,5α,6β,12β-四醇[17]

附 树皮含5-羟色胺(Serotonin)[18,19]、胡萝卜素[20]

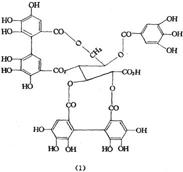
叶含维生素C 340.8mg%[21]、胡萝卜素[20]、异鼠李素[5]、金丝桃素(Hyperin)、银锻甙(Tiliroside)、1,2,6-三-O-棓酰-β-D-葡萄糖(1,2,6-Tri-O-galloyl-β-D-glucose)、英国栎素(Pedunculagin)、木麻黄亭(Casuarictin)、直木麻黄宁(Strictinin)、异直木麻黄宁(Isostrictinin)、大花特罗乌素Ⅰ(Tellimagrandin I)、木麻黄宁(Casuarinin)、沙棘宁甲素(HippophaeninA)(1)、沙棘宁乙素(Hippophaenin B)、旌节花素(Stachyurin)、栗木鞣花素(Castalagin)、栎木鞣花素(Vescalagin)[13]

鲜根瘤中含氯化血红素(Hemin)0.03mg/kg[20]

植物尚含哈尔醇(Harmol)、哈尔满(Harman)[21]

参考文献 [1] CA 1966;65(11)∶1736c [2] CA 1965;62(7)∶7587a [3] CA 1967;67(9)∶41015k [4] Chem Nat Compd 1982;18(3)∶302 [5] 野生植物研究 1984;2∶2 [6] Khim Zhur 1954;20;399 [7] Chemotaxonomic der Pflanzen Bd 1966;4∶55 [8] CA 1952;46∶1176i [9] CA 1945;39∶25853 [10] CA 1955;65(1)∶1042a [11] CA 1935;29∶80063 [12] CA 1974;82∶54115c [13] Phytochemistry 1991;30(2)∶663 [14] 药学学报 1988;23(6)∶456 [15] CA 1956;50(3)∶2191g [16] CA 1966;65(3)∶4263h [17] 中草药 1990;21(1)∶7 [18] 中国医学科学院药物研究所编.中草药有效成分的研究.第1分册.人民卫生出版社,1972∶411 [19] CA 1965;62(8)∶9466b [20] CA 1951;45∶8090j [21] CA 1953;47∶12538d [22] CA 1952;46∶11335d [23] CA 1971;75(21)∶126628c

。【药性】:

性味 酸、涩,温。

《西藏常用中草药》:“性温,味酸涩。”

归经 《高原中草药治疗手册》:“入肝、胃、大小肠经。”

功效 活血散瘀,化痰宽胸,补脾健胃。

主治 跌打损伤,瘀血肿痛,胃痛,咳嗽痰多,呼吸不畅,食欲不振。 ❶ 《西藏常用中草药》:“活血散瘀,化痰宽胸,补脾健胃。治跌打损伤,瘀肿,咳嗽痰多,呼吸困难,消化不良。


❷ 《高原中草药治疗手册》:“生津止渴,清热制泻。治高热伤阴症,支气管炎,肠炎,痢疾。

用法用量 内服:煎汤,9~15g。

【临床应用】:

单方应用 《高原中草药治疗手册》:“治肠炎、痢疾:醋柳果9~15g,水煎服。”

随便看

 

文网收录3541549条中英文词条,其功能与新华字典、现代汉语词典、牛津高阶英汉词典等各类中英文词典类似,基本涵盖了全部常用中英文字词句的读音、释义及用法,是语言学习和写作的有利工具。

 

Copyright © 2004-2024 Ctoth.com All Rights Reserved
京ICP备2021023879号 更新时间:2026/4/20 11:47:00