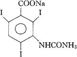
醋碘苯酸钠[典]
C9H5I3NNaO3=578.87 CAS-129-63-5 3-乙酰胺基-2,4,6-三碘苯甲酸钠。 3-Acetamido-2,4,6-triiodobenzoic acid sodium salt. 诊断用药。用于泌尿系、心血管、周围血管、脑血管等造影。 乌洛康钠。 Sodium Acetrizoate, Acetrizoate Sodium, Cystokon,Bronchoselectan,Diaginol,Iodopaque,Triiotrast,Urokon Sodium,Vesamin. 醋碘尿酸钠注射液。 INN,BP,DCF,DCIT,IP,NFN,USAN,USP,MI,  |