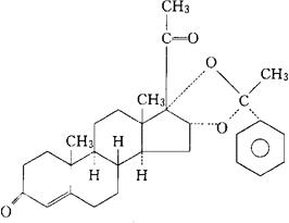
醋苯阿尔孕酮
C29H36O4=448.60 CAS-24356-94-3 [16α(R)]-16,17-[(1-苯基亚乙基)双(氧)]-孕甾-4-烯-3,20-二酮。 [16α(R)]-16,17-[(1-Phenylethylidene)bis(oxy)]pregn-4-ene-3,20-dione. (R)-16a,17-二羟基孕甾-4-烯-3,2-二酮与苯乙酮形成的环乙缩醛。 (R)-16α,17-Dihydroxypregn-4-ene-3,20-dione cyclic acetal with acetophenone. 孕激素药类。 Algestone Acetophenide,Deladroxone,Droxone,SQ 15,101,Alphasone,Acetophenide,Bovitrol. USAN.  |