醋酸氟尼缩松
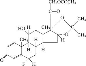
C26H33FO7=476.54 CAS-4533-89-5 (6α,11β,16α)-21-(乙酰氧)-6-氟-11-羟-16,17-[(1-甲基亚乙基)双(氧)]-1,4-二烯-3,20-二酮。 (6α,11β,16α)-21-(Acetyloxy)-6-fluoro-11-hydroxy16,17-[(1-methylethylidene)bis(oxy)]-1,4-diene3,20-dione. 6α-氟-11β,16α,17,21-四羟基孕甾-1,4-二烯-3,20-二酮与丙酮形成环16,17-乙缩醛,21-醋酸酯。 6α-Fluoro-11β,16α,17,21-tetrahydroxypregna-1,4-diene-3,20-dione cyclic 16,17-acetal with acetone,21-acetate. 消类镇痛药,肾上腺皮质激素类药。 Flunisolide Acetate,RS-1320,Fluoxolonate. USAN. 
|