醋酸甲地孕酮[典]
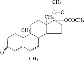
C24H32O4=384.51 CAS-595-33-5 17α-羟-6-甲基孕甾-4,6-二烯-3,20-二酮醋酸酯。 17α-Hydroxy-6-methylpregan-4,6-diene-3,20-dioneacetate. 孕激素类药。用于月经不调、子宫功能性出血、子宫内膜异位症等。 醋酸去氧甲孕酮。 Megestrol Acetate,Niagestin,Megestat,Megace,Ovaban,BOH1298,SC 10363,NSC-71423. 甲地孕酮片,甲地孕酮膜(妇宁膜)。 INN & BAN(Megestro1)NFN,USAN,USP,MI.  |