网站首页  词典首页

请输入您要查询的字词:

 

字词 野苏麻
类别 中英文字词句释义及详细解析
释义 野苏麻

【名称出处】:《贵州中草药名录》

【概况】:

异名 地甘(广西贵县),六棱麻、地曲(《全国中草药汇编》)。

基源 为唇形科香茶菜属植物细锥香茶菜的根及全草。

原植物 细锥香茶菜Rabdosia coetsa(Buch-Ham.ex D.Don)Hara[Plectranthus coetsa Buch.-Ham.ex D.Don;Ocimum coetsa Spreng.;Isodon coetsa(Buch.-Ham.exD.Don)Kudo]],又名癞克巴草(云南)。

形态 多年生草本或半灌木。

茎高0.5~2m,多分枝。

茎叶对生,卵圆形,长3~9cm,宽1.5~6cm,先端渐尖,基部宽楔形渐狭,边缘在基部以上具圆齿,上面绿色,下面淡绿色,两面沿脉密被短硬毛,全部散生糙伏毛及腺点;叶柄长1~5.5cm,上部具宽翅,下部具极狭翅。狭圆锥花序长5~15cm,顶生或腋生,由3~5花的聚伞花序组成,聚伞花序总梗长2~3mm;花萼钟形,长及直径1.5mm,萼齿5,卵圆状三角形,略呈3/2式二唇形,长仅及花萼长1/3,萼管状钟形,稍弯曲,明显10脉,上半部横纹明显;花冠紫、紫蓝色,管筒长2.5mm,基部上方明显囊状增大,冠檐2唇形,上唇反折,先端4圆裂,下唇舟形。

花盘环状。成熟小坚果倒卵球形,径约1mm,褐色,无毛。

花期10月至翌年2月。(图见《中国高等植物图鉴》.第3册.700页.图5353)

生境与分布 生于海拔650~2700m草坡、灌丛、林中旷地、路边、溪边、河岸、林缘及常绿阔叶林中。

分布于中国湖南、广东、广西、四川、贵州、云南、西藏南部。尼泊尔,印度、缅甸、老挝、越南也有。

。【化学】:

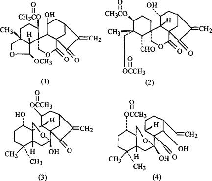
含二萜类化合物。有:细锥香茶菜甲素(Coetsin A)(1)、细锥香茶菜乙素(Coetsin B)(2)[1]、细锥香茶菜丁素(Rabdocoetsin D)(3)、细锥香茶菜B素(Rabdocoetsin B,文献2作者也称之“细锥香茶菜乙素”)(4)、细锥香茶菜丙素(Rabdocoetsin C)、瘿花香茶菜甲素(Rosthorin A)[2]、细锥香茶菜酮醇(Plecostonol)[3]、细锥香茶菜醇(Coestinol)和ent-3α,7β,14α-Trihydroxy kaur-16-en-15-one[4]、4-表鄂西香茶菜素(4-epi-Henrvin)[5]

参考文献 [1] 植物学报 1987;29(4)∶412 [2] 植物学报1990;32(4)∶292 [3] CA 1986;105∶39351b [4] Indian J Chem Sect B 1987;26B(1)∶15 [5] 云南植物研究 1991;13(4)∶455

【药性】:

性味 ❶ 《全国中草药汇编》:“根:苦,温。”
❷ 《新华本草纲要》:“全草:味苦、辛,性微温。根:味苦,性温。”

功效 解表散寒,除风湿。根:行血止痛。

主治 ❶ 《全国中草药汇编》:“根:跌打损伤。”
❷ 《新华本草纲要》:“全草;用于风寒感冒,呕吐,腹泻,风湿麻木,疮痒;四川又用以治刀伤。根;用于跌打损伤。”

用法用量 内服:泡酒,30g。

【临床应用】:

方选和验方 ❶ 《贵州民间药物》:“治风寒感冒:野苏麻、橙子壳、阳雀花根、地榆、金银花各9g。水煎服。”
❷ 《贵州民间药物》:“治呕吐、腹泻:野苏麻、紫苏、炮姜各9g,阎王刺15g,水煎服。”
❸ 《贵州民间药物》:“治风湿(麻木、疮痒):野苏麻、金银花藤、野花椒(全草)各30g,水煎洗。”
❹ 《全国中草药汇编》:“治跌打损伤;野苏麻根30g,泡酒服。”

随便看

 

文网收录3541549条中英文词条,其功能与新华字典、现代汉语词典、牛津高阶英汉词典等各类中英文词典类似,基本涵盖了全部常用中英文字词句的读音、释义及用法,是语言学习和写作的有利工具。

 

Copyright © 2004-2024 Ctoth.com All Rights Reserved
京ICP备2021023879号 更新时间:2025/10/17 22:35:31