锅炉回收热量和可加热水量的计算
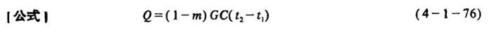
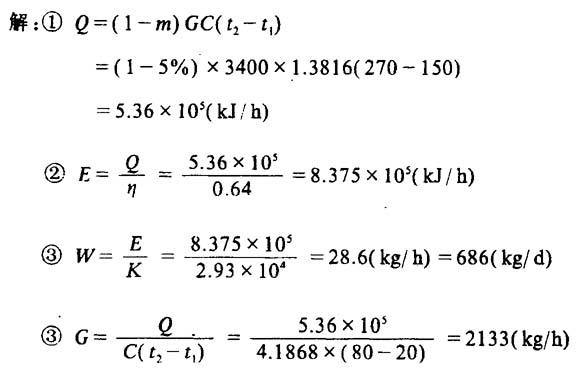
1.回收热量计算  式中 Q——回收热量(kJ/h) m——热水器散热损失(%) G——锅炉排烟量(m3/h) C——烟气平均比热容[kJ/(m3·℃)] t2——排烟温度(℃) t1——烟气出口温度(℃) 2.锅炉回收热量折算节约能量的计算  式中 E——节约能量(kJ/h) η——锅炉热效率(%) Q——回收热量(kJ/h) 3.回收热量折合标煤重量计算  式中 W——节约标煤重量(kg/h) E——节约能量(kJ/h) K——标煤发热量(kJ/kg),见表4-1-2 表4-1-2 几种煤的发热量及其成分  4.回收热量可加热水量的计算  式中 G——加热水量(kg/h) Q——回收热量(kJ/h) C——水的比热容[4.1868kJ/(kg·℃)] t7——热水出口温度(℃) t1——环境温度(℃) 5.计算实例 [例]某台蒸发量为2t/h的锅炉,效率为η=0.64,排烟温度为270℃,排烟量为3400标m3/h,环境温度为20℃,其中烟气平均比热容为1.3816kJ/(m3·℃),采用真空相变热水器加热水,热水器散热损失为5%,平均烟气的出口温度降到150℃,标煤发热值为2.93×104kJ/kg,热水出口温度为80℃,试求: ❶ 回收热量; ❷ 节约能量; ❸ 折合标煤量; ❹ 可加热水量。  |