锥形顶盖厚度计算
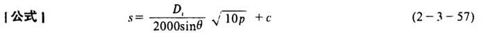
1.小直径(<2m)锥形顶盖应力计算 [说明]对于直径小于2m的锥形顶盖,其最大应力位于锥盖的最大直径处,参见图2-3-11  式中 θ——圆锥母线与水平面的夹角(度),当D0≤3m时,θ=10°;当D0>3m时,θ=12° p——均布载荷,取160Pa 2.大直径(≥2m)的顶盖厚度计算 [说明]锥形顶盖失去作用的主要因素是弹性不稳定造成锥面板皱褶而失效。因此,锥形顶盖在载荷作用下,其受力情况应按外压考虑,故计算应以刚度作为基础。  式中 s、D1、c——含义均同前,单位mm p——含义同上,单位N/cm2 |