网站首页  词典首页

请输入您要查询的字词:

 

字词 闭合电路的欧姆定律
类别 中英文字词句释义及详细解析
释义 闭合电路的欧姆定律

1.内容:闭合电路的电流与电源的电动势成正比,与整个电路的电阻成反比,

表达式:

或变形为E=I(R+r)=U+U

U=E—Ir.

注意 ❶ 只适用于外电路为纯电阻的闭合电路.

❷ U=E—Ir既适用于外电路为纯电阻的闭合电路,也适用于外电路为非纯电阻的闭合电路.

2.路端电压和负载电阻的关系

(1)外电路的电阻增大时,I减小,路端电压升高.

(2)外电路断开时,R=∞,路端电压U=E.

(3)外电路短路时,R=0,U=0,I=(短路电流),短路电流由电源电动势和内阻共同决定,由于r一般很小,短路电流往往很大,极易烧坏电源或线路而引起火灾.

如图所示,是电源的输出特性曲线,表明了路端电压U和电流I的关系,从图象可以看出:电源的电动势E(与U轴的交点),短路电流I0(与I轴的交点),据此可以求出电源的内阻tanθ,θ角越大,表明电源的内阻越大,电源的输出特性越差.

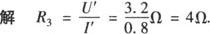
例 如图所示电路中,已知R1=4Ω,电流表的读数I=0.75A,电压表读数U=2.0V,经一段时间后一电阻断路,使电流表的读数变为I′=0.8A,而电压表的读数为U′=3.2V,求:

(1)发生断路的电阻是哪一个?

(2)电源电动势和内阻各是多少?

分析 此题电路的连接方式是,R1和R2串联成一个支路与R3支路并联后接到电源上.电流表测得是通过R3支路的电流,电压表测得是加在R2两端的电压.

当其中一个电阻断路后,电流表、电压表均有示数,说明R1和R3都没有断路,所以只能是R2发生断路,此时R1上没有电流通过,电压表测量的是路端电压U′=3.2V,电流表测量得R3中电流也是干路中电流I′=0.80A.

R2断路前,路端电压U0=I3R3=0.75×4V=3V.

对R1和R2串联的支路,加在R1两端的电压U1就等于:U1=3V—2V=1V.

则R2断路前,电路中总电流I0=I1+I3=0.25+0.75=1(A).

根据全电路欧姆定律:

R2断开前:E=U0+I0r=3+r,

R2断开后:E=U′+I′r=3.2+0.8r,

联解上述两式得:E=4V,r=1Ω.

随便看

 

文网收录3541549条中英文词条,其功能与新华字典、现代汉语词典、牛津高阶英汉词典等各类中英文词典类似,基本涵盖了全部常用中英文字词句的读音、释义及用法,是语言学习和写作的有利工具。

 

Copyright © 2004-2024 Ctoth.com All Rights Reserved
京ICP备2021023879号 更新时间:2026/4/17 23:24:19