闭环(反馈)控制系统结构图的一般表示形式及其传递函数
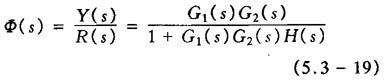
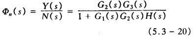
(1)闭环系统结构图的一般表示形式 一个闭环控制系统结构图的一般表示形式如图5.3-4所示。图中R(s)、Y(s)、N(s)分别为系统的输入量、输出量、干扰的象函数 (2)闭环系统中几个传递函数的定义和它们的表示方法 根据系统分析和系统设计的需要,对于图5.3-4的闭环系统,给出以下几个传递函数的定义和它们的表示方法: 系统的开环传递函数 开环传递函数定义为当主反馈断开时,主反馈信号的拉氏变换B(s)与输入量的拉氏变换R(s)之比。若以G(s)表示系统的开环传递函数,根据图5.3-4则有  式中G1(s)·G2(s)称为系统的前向通路传递函数,H(s)称为系统反馈通路传递函数。 在不断开反馈情况下,闭环系统的开环传递函数可写成  输入信号r(t)作用下系统的闭环传递函数 它定义为,令N(s)=0,闭环系统输出量的拉氏变换Y(s)与输入量的拉氏变换R(s)之比。若以Φ(s)表示这一传递函数,根据图5.3-4则有  干扰n(t)作用下系统的闭环传递函数 它定义为,令R(s)=0,闭环系统输出量的拉氏变换Y(s)与扰动的拉氏变换N(s)之比。若以Φn(s)表示这一传递函数,根据图5.3-4则有  |