阿帕西林钠
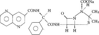
CAS-58795-03-2 C25H22N5NaO6S=543.53 CAS-63469-19-2(apalcillin) 6-[[[[(4-羟基-1,5-二氮杂萘-3-基)羰基]氨基]苯乙酰基]氨基]-3,3-二甲基-7-氧4-硫-1-氮杂双环[3.2.0]庚烷-2-羧酸单钠盐,[2S-[2α,5α,6β(S*)]]-。 4-Thia-1-azabicyclo[3.2.0]heptane-2-carboxylicacid,6-[[[[(4-hydroxy-l,5-naphthyridin-3-yl)carbonyl]amino]phenylacetyl]amino]-3,3-dimethyl7-oxo-,monosodium salt,[2S-[2α,5α,6β(S*)]]-. (2S,5R,6R)-6-[(R)-2-(4-羟基-1,5-二氮杂萘-3-甲酰胺基)-2-苯乙酰胺基]-3,3-二甲基-7-氧-4-硫-1-氮杂双环[3.2.0]庚烷-2-羧酸钠。 Sodium(2S,5R,6R)-6-[(R)-2-(4-hydroxy-1,5-naphthyridine-3-carboxamido)-2-phenylacetamido]-3,3-dimethyl-7-oxo-thia-l-azabicyclo[3.2.0]heptane-2-carboxylate. 抗生素类药。 Apalcillin Sodium,WY-44417,Sodium. INN,USAN.  |