阿扎莫林
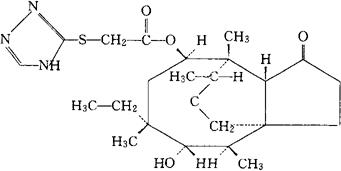
C24H38N4O4S=478.65 CAS-76530-44-4 (3aS,4R,5S,6R,8R,9R,9aR,10R)-6-乙基八氢-5,8-二羟基-4,6,9,10-四甲基-3a,9-丙基桥-3aH-环戊烷并环辛烷-1-(4H)-酮-8-[(5-氨基-均-三唑-3-基)硫]乙酸酯。 [(5-Amino-s-triazol-3-yl)thio]acetic acid,8-ester with(3aS,4R,5S,6R,8R,9R,9aR,10R)-6-ethyloctahydro-5,8-dihydroxy-4,6,9,10-tetramethyl-3a,9-propano-3aH-cyclopentacycloocten-1-(4H)-one. 皮肤科用药。 阿扎茂林。 Azamulin. INN,USAN.  |