网站首页  词典首页

请输入您要查询的字词:

 

字词 阿拉磷
类别 中英文字词句释义及详细解析
释义 阿拉磷

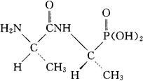
C5H13N2O4P=196.14

CAS-60668-24-8

[(1R)-1-[(2S)-2-氨基-丙酰胺基]乙基]膦酸。

[(1R)-1-[(2S)-2-Amino-propionamido]ethyl]phosphonic acid.

N-丙氨酰-(2-氨基乙基)膦酸。

N-Alanyl-(2-aminoethyl)phosphonic acid.

抗感染药。

Alafosfalin,Alafosfin,RO-03,7008.

INN,BAN,USAN.

随便看

 

文网收录3541549条中英文词条,其功能与新华字典、现代汉语词典、牛津高阶英汉词典等各类中英文词典类似,基本涵盖了全部常用中英文字词句的读音、释义及用法,是语言学习和写作的有利工具。

 

Copyright © 2004-2024 Ctoth.com All Rights Reserved
京ICP备2021023879号 更新时间:2025/10/18 15:16:30