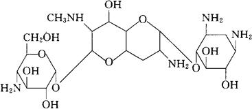
阿普拉霉素
C21H41N5O11=539.58 CAS-37321-09-8 4-O-[(8R)-2-氨基-8-O-(4-氨基-4-脱氧-α-D-葡萄吡喃糖基)-2,3,7-三脱氧-7-(甲胺基)-D-甘油基-α-D别-辛二醛基-1,5∶8,4-二吡喃糖-1-基]-2-脱氧-D链霉胺。 4-O-[(8R-2-Amino-8-O-(4-amino-4-deoxy-α-D-gluco-pyranosyl)-2,3,7-trideoxy-7-(methylamino)-Dglycero-α-D-allo-octodialdo-l,5∶8,4-dipyranos-1-yl]-2-deoxy-D-streptamine. 抗生素类药。 阿普霉素。 Apramycin,Apralan. INN,USAN,MI.  |