网站首页  词典首页

请输入您要查询的字词:

 

字词 阿法沙龙
类别 中英文字词句释义及详细解析
释义 阿法沙龙

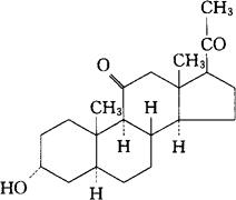
C21H32O3=332.48

CAS-23930-19-0

3α-羟基-5α-孕甾烷-11,20-二酮。

3α-Hydroxy-5α-pregnane-11,20-dione.

麻醉药。

索龙。

Alfaxalone,Alphaxalone,GR 2/234,Alfathesin,Althesin.

INN,DCF,USAN,MI.

随便看

 

文网收录3541549条中英文词条,其功能与新华字典、现代汉语词典、牛津高阶英汉词典等各类中英文词典类似,基本涵盖了全部常用中英文字词句的读音、释义及用法,是语言学习和写作的有利工具。

 

Copyright © 2004-2024 Ctoth.com All Rights Reserved
京ICP备2021023879号 更新时间:2025/10/18 13:32:31