网站首页  词典首页

请输入您要查询的字词:

 

字词 阿维霉素
类别 中英文字词句释义及详细解析
释义 阿维霉素

C61H88Cl2O32(Avilamycin A)=1404.25

CAS-11051-71-1

CAS-69787-79-7

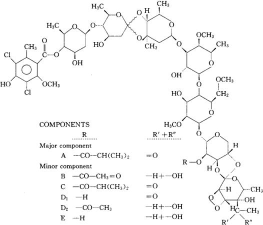
[阿维霉素A]O-(IR)-4-C-乙酰-6-脱氧-2,3-O-亚甲基-D-吡喃半乳糖亚基-(1→3-4)-2-O-(2-甲基-1-氧丙基)-α-L-来苏吡喃糖基O-2,6-二脱氧-4-O(3,5-二氯-4-羟基-2-甲氧基-6-甲基苯甲酰基)-β-D-阿拉伯-己吡喃糖基-(1→4)-O-2,6-二脱氧-D-阿拉伯己吡喃糖亚基-(1→3-4)-O-2,6-二脱氧-3-C-甲基-β-D-阿拉伯-己吡喃糖基(1→3)-O-6-脱氧-4-O-甲基-β-D-吡喃半乳糖基-(1→4)-2,6-二-O-甲基-β-D-吡喃甘露糖苷。

[Avilamycin A]O-(1R)-4-C-acetyl-6-deoxy-2,3-Omethylene-D-galactopyranosylidene-(1→3-4)-2-O(2-methyl-1-oxopropyl)-α-L-lyxopyranosyl O-2,6-dideoxy-4-O-(3,5-dichloro-4-hydroxy-2-methoxy-6-methylbenzoyl)-β-D-arabino-hexopyranosyl-(1→4)-O-2,6-dideoxy-D-arabino-hexopyranosylidene-(1→3-4)-O-2,6-dideoxy-3-C-methyl-β-D-arabino-hexopyranosyl-(1→3)-O-6-deoxy-4-O-methyl-β-Dgalactopyranosyl-(1-→4)-2,6-di-O-meth-B-Dmannopyranoside.

抗菌药。

Avilamycin,LY 048 740.

INN,BAN,USAN.

随便看

 

文网收录3541549条中英文词条,其功能与新华字典、现代汉语词典、牛津高阶英汉词典等各类中英文词典类似,基本涵盖了全部常用中英文字词句的读音、释义及用法,是语言学习和写作的有利工具。

 

Copyright © 2004-2024 Ctoth.com All Rights Reserved
京ICP备2021023879号 更新时间:2025/10/16 17:03:16