阿美麦角德
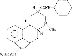
C25H35N3O=393.57 CAS-121588-75-8 (8β)-N-环己基-6-甲基-1-(1-甲基乙基)-麦角灵-8-甲酰胺。 (8β)-N-cyclohexyl-6-methyl-1-(1-methylethyl)-ergoline-8-carboxamide. N-环己基-1-异丙基-6-甲基麦角灵-8β-甲酰胺。 N-Cyclohexyl-1-isopropy1-6-methylergoline-8β-carboxamide. 5-羟色胺拮抗药。 Amesergide,LY237733. USAN.  |