网站首页  词典首页

请输入您要查询的字词:

 

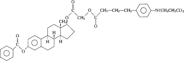
字词 阿莫司汀
类别 中英文字词句释义及详细解析
释义 阿莫司汀

C41H47Cl2O6=720.73

CAS-75219-46-4

雌二醇3-苯甲酸酯17-乙醇酸酯,4-[对-[双(2-氯乙基)氨基]苯基]丁酸酯。

Estradiol 3-benzoate 17-glycolate,4-[p-[bis(2-chloroethyl)amino]phenyl]butyrate.

抗肿瘤药。

Atrimustine.

INN,USAN.

随便看

 

文网收录3541549条中英文词条,其功能与新华字典、现代汉语词典、牛津高阶英汉词典等各类中英文词典类似,基本涵盖了全部常用中英文字词句的读音、释义及用法,是语言学习和写作的有利工具。

 

Copyright © 2004-2024 Ctoth.com All Rights Reserved
京ICP备2021023879号 更新时间:2026/1/17 12:30:56