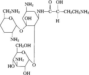
阿贝卡星
C22H44N6O10=552.63 CAS-51025-85-5 O-3-氨基-3-去氧-α-D-吡喃葡糖基-(1→4)-O-[2,6-二氨基-2,3,4,6-四去氧-α-D-赤-吡喃己糖基-(1→6)]-N′[(2S)-4-氨基-2-羟基丁酰]-2-去氧-L-链霉胺。 O-3-Amino-3-deoxy-α-D-glucopyranosyl-(1→4)-O[2,6-diamino-2,3,4,6-tetradeoxy-α-D-erythro-hexopyranosyl-(1→6)]-,N′-[(2S)-4-amino-2-hydroxybutyryl]-2-deoxy-L-streptamine. 抗生素类药。 Arbekacin. INN,USAN.  |