雷复尼特
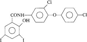
C19H11Cl2l2NO3=626.02 CAS-22662-39-1 N-[3-氯-4-(4-氯苯氧)苯基]-2-羟-3,5-二碘苯甲酰胺。 N-[3-Chloro-4-(4-chlorophenoxy)phenyl]-2-hydroxy-3,5-diiodobenzamide. 3′-氯-4′-(对-氯苯氧)-3,5-二碘水杨酰苯胺。 3′-Chloro-4′-(p-chlorophenxoy)-3,5-diiodosalicylanilide. 抗蠕虫药。 Rafoxanide,Disalan,Flukanide,Ranide,Raniden,Ursovermit,MK 990. INN,BAN,USAN.  |