需求是随机离散时的经济批量
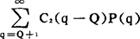
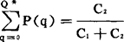
指库存系统中需求速度为非确定的情况下,经济批量的选择问题。 当需求是随机离散时,其订货量可依下法确定: 设订货量为Q,实际需求量为q,q是随机离散变化的。 (1)若订货Q≥q,则供过于求,需付出报废损失,设单位货物报废损失为C1,则损失期望值为:  (2)若订货Q<q,则供不应求,要付出机会损失,设单位货物机会损失为C2,则损失期望值为:  (3)由总损失最小,确定最佳订购量Q* 总损失期望值:  用差分法求极值,得最佳订购量Q*可由下式确定:  上式P(q),C1,C2均为已知,故只要知道库存系统需求的概率分布P(q),即可计算出经济批量Q*。 |