青霉素
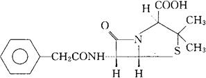
C16H18N2O4S=334.39 CAS-61-33-6 (2S,5R,6R)-3,3-二甲基-7-氧代-6-(2-苯乙酰胺基)-4-硫杂-1-氮杂双环[3.2.0]庚烷-2-羧酸。 (2S,5R,6R)-3,3-Dimethyl-7-oxo-6-(2-phenylacetamido)-4-thia-1-azabicyclo[3.2.0]hepetane-2-carboxylic acid. 抗生素类药。用于治疗菌血症、败血症、猩红热、丹毒、肺炎、脓胸、扁桃体炎、中耳炎、蜂窝组织炎、疖痈、急性乳腺炎、心内膜炎、骨髓炎、流行性脑膜炎、钩端螺旋体病、奋森氏咽峡炎、创伤感染、梅毒、回归热、气性坏疽、炭疽、淋病、放线菌病等。 苄青霉素,配尼西林,青霉素G。 Benzylpenicillin,Penicillin,Penicillin G. INN,BAN,BP,GDP,JP,IP,USP,USAN,MI.  |