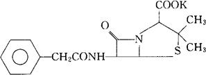
青霉素钾[典]
C16H17KN2O4S=372.48 CAS-113-98-4 (2S,5R,6R)-3,3-二甲基-7-氧代-6-(2-苯乙酰胺基)-4-硫杂-氮杂双环[3.2.0]庚烷-2-羧酸钾盐。 Monopotassium(2S,5R,6R)-3,3-dimethyl-7-oxo6-(2-phenylacetamido)-4-thia-1-azabicyclo[3.2.0]-heptane-2-carboxylate. 抗生素类药。用于链球菌、肺炎球菌、脑膜炎球菌的感染。 青霉素G钾,苄青霉素钾(台),盘尼西林。 Penicillin G Potassium,Benzylpenicillin Potassium, Potassium Penicillin G,Potassium Benzylpenicillinate. 注射用青霉素钾(注射用苄青霉素钾,注射用青霉素G钾),苄青霉素锭(台),注射用苄青霉素(台)。 BAN,BP,EP,JP,NFN,USAN,USP,MI. 
|