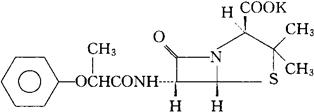
非奈西林钾
C17H19KN2O5S=402.51 CAS-132-93-4 CAS-147-55-7(phenethicillin) [2S-(2α,5α,6β)]-3,3-二甲基-7-氧代-6-[(1-氧代-2-苯氧丙基)氨基]-4-噻-1-氮杂双环[3.2.0]庚烷-2-羧酸单钾盐。 [2S-(2α,5α,6β)]-3,3-Dimethyl-7-oxo-6-[(1-oxo-2-phenoxypropyl)amino]-4-thia-1-azabicyclo[3.2.0]heptane-2-carboxylic acid,monopotassium salt. (2S,5R,6R)-3,3-二甲基-7-氧代-6-(2-苯氧丙酰胺基)-4-硫代-1-氮杂双环[3.2.0]庚烷-2-羧酸单钾盐。 Monopotassium(2S,5R,6R)-3,3-dimethyl-7-oxo6-(2-phenoxypropionamido)-4-thia-1-azabicyclo[3.2.0]heptane-2-carboxylate. 6-(α-苯氧丙酰胺基)青霉素酸单钾盐。 6-(α-Phenoxypropionamide)penicillanic acid monopotassiun salt. 抗生素类药。 苯乙青霉素钾。 Phenethicillin Potassium,Potassium Penicillin-152,Penchim,Alfacillin,Semopen,Synthecilline. INN(Phenethicilline),BAN,DCF,JAN,USAN,USP,MI. 
|