非摸索过程
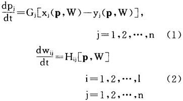
商品和价格随时都在调整的交换过程。 由摸索过程的定义知,仅当均衡价格达到时,经济活动者们才进行商品交换,在均衡价格未达成前的价格调整过程中,因为没有发生商品交换,故每个人持有的财货量一直不变。显然,这种过程过于理想化,比较接近现实的情况是,每宣布一次价格,人们就进行一次商品交换,描述商品价格和个人持有财货量随时进行调整的过程,就是非摸索过程。 如以p(t)表示t时刻的价格向量,wij(t)表示t时刻第i人拥有第j种商品的数量,用w(t)=[wij(t)]表示以wij为元素的矩阵,则非摸索过程可用下述微分方程组表示:  其中方程(1)表示价格随供求律调整,Gj是保号函数,xj和yj分别为商品j的总需求和总供给;方程(2)描述第i人持有第j种商品的调整(交换)规则。 例如,设仅当消费者能增加他的效用u时,他才进行交换,从而对Hij的要求是使得 >0,i=1,2,…,1。这类过程称为艾奇沃什(Edgeworth)过程。 另一类非摸索过程对Hij的要求是使得:(1) ( wij)=0,j=1,2,…,n,即市场上任何一种商品的总量不变,和(2) pj =0,i=1,2,…,l,即在价格p(t)上每一个人交换前后的商品价值不变。 这类过程称为哈恩(Hahn)过程。上述两类过程都是稳定的。 |