非诺啡烷
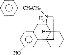
C24H29NO3=347.50 CAS-468-07-5 (-)-1,3,4,9,10,10a-六氢-11-苯乙基-2H,10,4a亚氨基乙烷基菲-6-乙醇。 (-)-1,3,4,9,10,10a-Hexahydro-11-phenethyl-2H,10,4a-iminoethanophenanthren-6-ol. 3-羟-N-苯乙基吗啡喃。 3-Hydroxy-N-phenethylmorphinan. N-(2-苯乙基)吗啡喃-3-醇。 N-(2-Phenylethyl)morphinan-3-ol. 镇痛药。 Phenomorphan,NIH 7274. INN,BAN,DCF,USAN,MI.  |