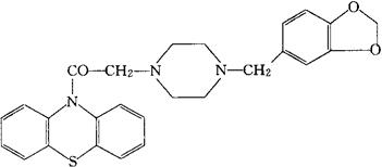
非诺维林
C26H25N3O3S=459.56 CAS-37561-27-6 10-[(4-胡椒基-1-哌嗪基)乙酰]吩噻嗪。 10-[(4-Piperonyl-1-piperazinyl)acetyl] phenothiazine. 10-[[4-(1,3-苯并二氧杂环戊烯-5-基甲基)-1-哌嗪基]乙酰]吩噻嗪。 10-[[4-(1,3-Benzodioxol-5-ylmethyl)-1-piperazinyl]-ncetyl]-10H-phenothiazine. 解痉药。 Fenoverine,Procalma,Spasmopriv. INN,DCF,USAN. 
|