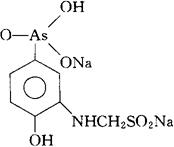
非那胂次硫酸盐
C7H8AsNNa2O6S=355.10 CAS-535-51-3 4-羟-间-苯胂酸,与甲醛次硫酸钠盐的化合物。 4-Hydroxy-m-arsanilic acid,compound with sodium formaldehydesulfoxylate. 5-胂羧基-2-(羟苯基)氨基甲亚磺酸二钠盐。 5-Arsono-2-(hydroxyphenyl)aminomethanesulfinic acid disodium salt. 抗感染药,抗阿米巴药。 Phenarsone Sulfoxylate,Aldarsone. INN,USAN,MI. 
|