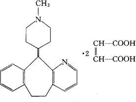
马来酸阿扎庚啶
C20H22N2·2C4H4O4=522.55 CAS-3978-86-7 6,11-二氢-11-(1-甲基-4-哌啶亚基)-5H-苯并[5,6]环庚烷并,[1,2-b]吡啶马来酸盐(1∶2)。 6,11-Dihydro-11-(1-methyl-4-piperidylidene)-5Hbenzo[5,6]cyclohepta[1,2-b]pyridine maleate(1∶2). 抗组胺药。 马来酸阿扎他定。 Azatadine Maleate,Optimine,Zadine. INN,USAN,MI.  |