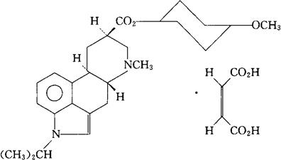
马来酸麦角克索
C26H36N2O3·C4H4O4=540.66 CAS-108674-87-9 CAS-108674-86-8(sergolexole) [8β(反)]-6-甲基-1-(1-甲基乙基)麦角灵-8-羧酸4-甲氧基环己酯,(顺)-2-丁烯二酸盐(1∶1)。 [8β(trans)]-6-Methyl-1-(1-methylethyl)ergoline-8-carboxylic acid,4-methoxycyclohexyl ester,(Z)-2-butenedioate(1∶1). 反-4-甲氧环己基1-异丙基-6-甲基麦角灵-8β-羧酸,马来酸盐(1∶1)。 trans-4-Methoxycyclohexyl I-isopropyl-6-methy lergoline-8β-carboxylate,maleate(1∶1). 抗偏头痛药。 Sergolexole Maleate,LY281067. INN(Sergolexole),USAN.  |