固定资产修理理通常可分为经常性修理和大修理。经常性修理指对固定资产的日常局部检修,其特点是修理范围小,间隔时间短,修理费用少。大修理指的是对固定资产的主要构成部分和所有已磨损的零部件进行更换和修理,或对房屋建筑物进行较大规模的翻修,大修理的特点是:修理范围大,间隔时间长,修理费用大。
外商投资企业不设“大修理基金”,企业可以根据自身的情况,预提修理费用,也可以于实际发生时一次全部计入当期费用,还可以采用待摊的方法,分期摊销已经发生的修理费。当采用预提方法时,可根据修理间隔期限和每次修理费预计金额,计算出每月应预提的修理费用,提取时,贷记“预提费用——大修理费用”帐户。
[例11]恒达公司根据固定资产修理计划,决定在下年度对某设备进行大修理,预计修理费96000元。为使下年度各月成本保持均衡,企业应从下年度1月份开始预提大修理费用,每月预提时,其会计分录为:
借:制造费用——修理费 ¥8000.00
贷:预提费用——大修理费用 8000.00
实际发生大修理支出时,以实际发生数冲减预提费用。假如上述企业在该年12月份实际发生修理费90000元,其会计分录为:
借:预提费用——大修理费用 ¥90000.00
贷:银行存款——人民币户 ¥90000.00
如果实际发生的修理支出大于预提的金额,使预提费用帐户发生借方余额,可将该借方余额转入“待摊费用”帐户,摊入以后各期费用,也可将其留在“预提费用”帐户,由以后各期继续预提补足差额。
大修理费用也可在固定资产的整个使用年限内平均预提。具体做法是:当某项固定资产交付使用时,便预计需进行大修的次数及修理费用,再据此计算出在该项固定资产使用年限内各月应预提的大修理费用。
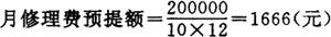
[例12]星光集团公司有大型设备一套,预计使用10年,10年内需大修两次,每次预计修理费100000元。据此,可计算每月预提的修理费并作分录:

借:制造费用——修理费用 1666.00
贷:预提费用——大修理费用 1666.00