麦迪霉素[中]
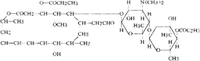
C41H67NO15=813.98 CAS-35457-80-8 7-(甲酰甲基)4,10-二羟-5-甲氧-9,16-二甲基-2-氧代氧环十六烷-11,13-二烯-6-基-3,6-二去氧-4-O(2,6-二去氧-3-C-甲基-α-L-核吡喃己糖基)-3-(二甲胺基)-β-D-葡萄糖吡喃甙-4′,4″-二丙酸酯。 7-(Formylmethyl)-4,10-dihydroxy-5-methoxy-9,16-dimethyl-2-oxo-oxacyclohexadeca-11,13-dien-6-yl-3,6-dideoxy-4-O-(2,6-dideoxy-3-C-methyl-α-Lribo-hexopyranosyl)3(dimethylamino)-β-D-glucopyranoside-4′,4″-dipropionate(ester). 抗生素类药。用于葡萄球菌、链球菌、肺炎球菌及白喉杆菌的感染。 米地加霉素,美地霉素,麦地霉素。 Midecamycin,Medemycin,Mydecamycin. 麦迪霉素肠溶片,麦迪霉素胶囊(麦地霉素胶囊),麦地霉素片。 INN,DCF,JAN,JP,NFN,USAN,MI.  |