网站首页  词典首页

请输入您要查询的字词:

 

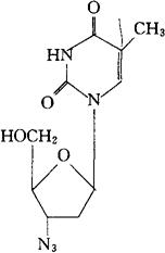
字词 齐多夫定
类别 中英文字词句释义及详细解析
释义 齐多夫定

C10H13N5O4=267.24

CAS-30516-87-1

3′-叠氮基-3′-去氧-胸苷。

Thymidine,3′-azido-3′-deoxy.

3′-叠氮基-3′-去氧胸(腺嘧啶脱氧核)苷。

3′Azido-3′-deoxythymidine.

抗病毒药。

Zidovudine,BW A509U,Azidothymidine,AZT,Betrovir.

INN,BAN,USAN.

随便看

 

文网收录3541549条中英文词条,其功能与新华字典、现代汉语词典、牛津高阶英汉词典等各类中英文词典类似,基本涵盖了全部常用中英文字词句的读音、释义及用法,是语言学习和写作的有利工具。

 

Copyright © 2004-2024 Ctoth.com All Rights Reserved
京ICP备2021023879号 更新时间:2025/10/17 19:01:46