1.配制
称取5g三氧化二砷于烧杯中,加入30ml水及2.5g固体氢氧化钠,微热至全溶解。以蓝色石蕊试纸试之,用1mol/L盐酸溶液中和至呈中性。然后加入溶有25g碳酸氢钠的溶液400ml。将此混合溶液移至1000ml的容量瓶中并稀释至刻度,摇匀备用。
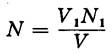
2.标定及计算
精确量取25ml碘标准溶液于250ml带玻塞的锥形瓶中,加入25ml水稀释,用0.1mol/L亚砷酸钠溶液滴定至淡黄色时,加2~3ml淀粉指示剂,继续滴定至蓝色恰好消失。

式中:V1——碘标准溶液用量(ml);
N1——碘标准溶液的浓度(mol/L)。
V——亚砷酸钠溶液用量(ml)。