网站首页  词典首页

请输入您要查询的字词:

 

字词 2.质量指标、类别和级别
类别 中英文字词句释义及详细解析
释义

2.质量指标、类别和级别


2.1 质量指标

玻璃按下列各项质量指标分类和分级:

(a)折射率、色散系数与标准数值的允许差值;

(b)同一批玻璃中,折射率及色散系数的一致性;

(c)光学均匀性;

(d)应力双折射;

(e)条纹度;

(f)气泡度;

(g)光吸收系数;

(h)耐辐射性能(N系列玻璃)。

2.2 分类分级

2.2.1 折射率、色散系数

2.2.1.1 根据折射率及色散系数与标准数值的允许差值,玻璃按表1-3和表1-4各分为6类。

表1-3 无色光学玻璃nd允许差值

表1-4 vd允许差值

表1-3和表1-4中的4类仅适用于nd大于1.82的玻璃。

2.2.1.2 根据同一批玻璃中,折射率及色散系数的最大差值,玻璃的一致性按表1-5分为4级。

表1-5 玻璃一致性的分级

2.2.2 光学均匀性

光学均匀性指同一块玻璃中各点折射率的不一致性,是由于退火炉内各处温度不均匀所引起的。光线通过一块折射率不均匀的玻璃时,会使各部分光程产生不规则的变化,因而影响光学系统的成像质量。按国家标准规定,当玻璃直径或边长不大于150mm的无色光学玻璃毛坯的光学均匀性用分辨率的比值法表示;玻璃直径或边长为150mm~300mm的无色光学玻璃(称大块光学玻璃)的光学均匀性以一块玻璃中各部位间的折射率微差最大值表示。

2.2.2.1 玻璃的光学均匀性以分辨率的比值α/α0表示时,按表1-6分为4类。

表1-6 玻璃光学均匀性的分类

注:α0代表平行光管的理论分辨率;α代表玻璃放入平行光管后的分辨率。

2.2.2.2 玻璃的光学均匀性以一块玻璃中各部位间的折射率微差最大值△nmax表示时,按表1-7分为4类。

表1-7

2.2.3 应力双折射

光学玻璃的内应力是指退火时各处温度不均匀而带来的应力。其危害为:

(1)应力较大时,在光学加工过程中,容易引起玻璃炸裂;即使应力不大时,也容易使光圈变坏。

(2)产生与杂散光相类似的影响,造成像质变坏。

(3)应力分布不均匀,导致折射率不均匀,使通过玻璃后的光波波面变形,像质也会变坏。

光学玻璃的应力分为中部应力与边缘应力。按规定,小块玻璃检验中部应力;大块玻璃(直径大于150mm和重量超过3kg)除了检验中部应力,还要检验边缘应力。

2.2.3.1 玻璃的应力双折射以其最长边中部单位厚度上的光程差δ(nm/cm)表示时,按表1-8分为4类。

表1-8

2.2.3.2 玻璃的应力双折射以其距边缘5%直径或边长处单位厚度上的最大光程差δmax(nm/cm)表示时,按表1-9分为4类。

表1-9

2.2.4 条纹度

条纹是指玻璃内部折射率的局部不均匀,外形如线状条纹,类似于圆柱透镜,引起光线方向的变异,主要是由于光学玻璃熔炼过程中各部分成分不同而引起的。最易引起条纹的玻璃是ZF类,其次为F、BaF、BaK等。

2.2.4.1 玻璃用投影条纹仪从规定方向观测时,条纹度按表1-10分为4类。

表1-10 玻璃条纹度分类(mm)

2.2.4.2 根据规定观察玻璃的方向数,玻璃的条纹度按表1-11分为3级。

表1-11 玻璃条纹度分级

2.2.5 气泡度

玻璃中的气泡相当细微的凹透镜,引起光的散射和折射。最容易引起气泡的玻璃是含有BaO的BaK、BaF和ZK等。

2.2.5.1 玻璃的气泡度类别根据其直径或最大边长及所含最大气泡的直径,按图1-1分为3类。

图1-1 气泡度分类图

2.2.5.2 玻璃的气泡度级别根据每100cm3玻璃内允许含有气泡的总截面积(mm2)的大小,按表1-12分为7级(结石、结晶体及其它内含物亦作为气泡计算。扁长气泡取最长轴和最短轴的算术平均值为直径计算截面积)。

表1-12 玻璃气泡度分级(mm2/100cm3)

光学玻璃的气泡度级别也可根据每100cm3玻璃内允许含有的气泡数量按表1-13分为7级。

表1-13 玻璃气泡度分级

结石、结晶体及其它内含物亦作为气泡计算;扁长气泡的直径为最长轴和最短轴的算术平均值。

2.2.6 光吸收系数

在“应用光学”中曾介绍过光束通过透明介质时吸收损失的计算公式为

式中:l为透明介质厚度,以厘米为单位;F′1为入射到厚度为l的透明介质的光通量;F2为通过厚度为l的透明介质后的光通量;k为光的吸收系数。

我们称因子e-kl为透明介质的内透过率,用τ表示,即

对上式两边取自然对数,得

若取l为单位长度(1cm),则k=-1nτ,这就是说:玻璃的光吸收系数用白光通过玻璃中每厘米路程的内透过率的自然对数的负值表示,按表1-14分为8类。

表1-14 玻璃光吸收系数分类

2.2.7 耐辐射性能

2.2.7.1 名词术语

(1)耐辐射玻璃。在高能辐射(如γ射线、χ射线及宇宙射线)作用下,具有一定抗辐射稳定性(不易着色或变暗)的光学玻璃称为耐辐射玻璃。耐辐射玻璃在无色光学玻璃国标中属N系列。

耐辐射玻璃的牌号是这样规定的:例如K9是普通光学玻璃,而K509则表示光学常数与K9玻璃相同,但它能耐1×105R(伦琴)剂量的γ射线或χ射线的辐照。

(2)光密度。假定一束白光通过透明介质时的透过率为τ(既考虑了吸收损失,也考虑了介质两表面的反射损失)。我们把τ的对数(以10为底)的负值称为光密度,用D表示,即D=-lgτ。例如τ=0.1,D=1;τ=0.01,D=2。光密度数值越大,表示透明介质的透过率越低。

2.2.7.2 耐辐射性能

耐辐射光学玻璃的耐辐射性能,用总剂量为1×105R(伦琴)的χ射线辐照玻璃后的每厘米厚度上的光密度增量△D1来表示,应符合表1-15的规定。

表1-15 耐辐射玻璃的光密度增量

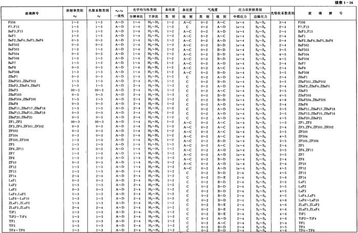
2.3 玻璃质量范围及供货条件

玻璃质量范围及供货条件应遵守表1-16的规定。

表1-16 光学玻璃质量范围

随便看

 

文网收录3541549条中英文词条,其功能与新华字典、现代汉语词典、牛津高阶英汉词典等各类中英文词典类似,基本涵盖了全部常用中英文字词句的读音、释义及用法,是语言学习和写作的有利工具。

 

Copyright © 2004-2024 Ctoth.com All Rights Reserved
京ICP备2021023879号 更新时间:2026/1/18 22:49:32