本项测定可为腐殖酸原料加工的工艺过程提供合理的加氨量(即活化剂用量)。
(一)试剂配制
1.0.1N氢氧化钠标准液。
2.0.5N醋酸钙液 称88.1g醋酸钙〔(CH3COO)2Ca〕溶于1L水中。
3.1%酚酞指示剂。
(二)测定步骤 称取腐殖酸原料(草炭、褐煤或风化煤等)样品1.000g(通过0.25mm筛)于125ml三角瓶中,加50.00ml0.5N醋酸钙。另取一三角瓶,同样加50.00ml醋酸钙,作空白标定。各盖以小漏斗,置石棉网上加热至沸,微沸15min左右,趁热过滤于250ml容量瓶中,用热水洗涤残渣至中性,定容。移取100.0ml于300ml三角瓶中,加4滴酚酞指示剂,用0.1N氢氧化钠标准液滴定至微红色,记录其用量(ml)。
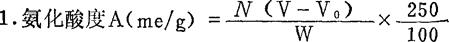
(三)结果计算

2.加氨量(G)
(1)以氨水需用量计:

(2)以碳酸氢铵需用量计:

式中:V——对样品待测液的氢氧化钠滴定量(ml);
V0——空白标定的氢氧化钠滴定量(ml);
NH3%——指所用氨水的含NH3百分数。如氨水含NH3%为17%,此公式简化为G=A×10
0.017——氨的毫当量(g);
0.079——碳酸氢铵的毫当量(g)。
(四)注释 本实验氨化酸度是在加温下进行的,而制造腐殖酸类肥料时是在常温下进行的。因此实际加氨量计算时所用氨化酸度A,最好在0.8A-A之间。