网站首页  词典首页

请输入您要查询的字词:

 

字词 圆曲线的详细测设
类别 中英文字词句释义及详细解析
释义

圆曲线的详细测设


当地形变化比较小,圆曲线的长度小于40m时,只要测设圆曲线的三个主点就能够满足设计与施工的需要。如果圆曲线较长,或地形变化比较大时,则在完成测定三个圆曲线的主点以后,还需要按照表11-1中所列的桩距l,在曲线上测设整桩与加桩。这就是圆曲线的详细测设。

表11-1 中桩间距

注:表中R为平曲线的半径,以m计。

圆曲线详细测设的方法比较多,下面仅介绍常用的三种方法。

1.偏角法

偏角法测设圆曲线上的细部点是以圆曲线的起点ZY或终点YZ作为测站点,计算出测站点到圆曲线上某一特定的细部点Pi的弦线与切线T的偏角——弦切角△i和弦长Ci来确定Pi点的位置。按照整桩号法测设细部点时,该细部点就是圆曲线上的里程桩。可以根据曲线的半径R按照表11-1来选择桩距(弧长)为l的整桩。R越小,则l也越小。

用偏角法测设圆曲线的细部点,因测设距离的方法不同,分为长弦偏角法和短弦偏角法两种。长弦偏角法是测设ZY或YZ点至细部点的距离(长弦),适合于用经纬仪加测距仪(或用全站仪);短弦偏角法是从ZY点开始,沿选定的桩点,逐点迁移仪器进行测设,适合于用经纬仪加钢尺。

(1)测设数据的计算

为便于计算工程量和施工方便,细部点的点位通常采用整桩号法,从ZY点出发,将曲线上靠近起点ZY的第一个桩的桩号凑整成大于ZY桩号且是桩距l的最小倍数的整桩号,然后按照桩距l连续向圆曲线的终点YZ测设桩位,这样设置桩的桩号均为整数。按照整桩号法测设细部点时,该细部点就是圆曲线上的里程桩。

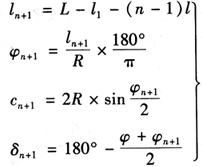
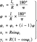
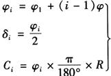
如图11-3所示,P1为圆曲线上的第一个整桩,它与圆曲线起点的弧长为l1(l1<l),P1点以后各相邻点之间的弧长为l,圆曲线的最后一个整桩到圆曲线的终点的弧长为ln+1。若l1对应的圆心角为φ1,l对应的圆心角为φ,。ln+1对应的圆心角为φn+1,同时,弦切角是同弧所对应的圆心角的一半,可以按下式计算(角度单位为度)。

图11-3 偏角法详细测设圆曲线

1)长弦偏角法

2)短弦偏角法

第一个点:

其余各点:

根据最后一个整桩再一次测设终点,以作检核。

(2)测设方法(根据图11-3和表11-2、表11-3)

表11-2 圆曲线细部点长弦偏角法测设数据(R=120m)

表11-3 圆曲线细部点短弦偏角法测设数据(R=120m)

1)长弦偏角法,具体测设步骤如下。

①安置经纬仪(或全站仪)于曲线起点(ZY)上,瞄准交点(JD),使水平度盘读数设置为0°00′00″。

②水平转动照准部,使度盘读数为2°08′12″,沿此方向测设弦长C1=8.95m,定出P1点。

③再水平转动照准部,使度盘读数为6°54′41″,沿此方向测设弦长C2=28.88m,定出P2点。以此类推,测设P3,P4点。

④测设至曲线终点(YZ)作为检核,水平转动照准部,使度盘读数为=20°10′00″。在方向上测设弦长CYZ=82.74m,定出一点。此点如果与YZ不重合,其闭合差一般应按如下要求:半径方向(路线横向)不超过0.1m;切线方向(路线纵向)不超过L/1000(L为曲线长)。

2)短弦偏角法,具体测设步骤如下。

①安置经纬仪(或全站仪)于曲线起点(ZY)上,瞄准交点(JD),使水平度盘读数设置为0°00′00″。

②水平转动照准部,使度盘读数为2°08′12″,沿此方向测设弦长C1=8.95m,定出P1点。

③将仪器安置在P1点,后视ZY点,再逆时针水平转动照准部,拨角170°27′03″,沿此方向测设弦长19.98m,定出P2点。以此类推,在P2点后视P1点定出P3点,在P3点后视P2点定出P4点。

④在P4点后视P3点测设至曲线终点(YZ)作为检核,其闭合差要求见表11-4。

表11-4 曲线测量闭合差

2.切线支距法

切线支距法又称直角坐标法,是以圆曲线的起点ZY(对于前半曲线)或终点YZ(对于后半曲线)为坐标原点,以切线T为x轴,以通过原点的半径为y轴,建立独立坐标系,按照圆曲线上特定点在直角坐标系中的坐标(xi,yi)来对应细部点Pi

(1)测设数据的计算

如图11-4所示,细部点的点位仍采用整桩号法,则该点坐标可以按下式计算。

图11-4 切线支距法详细测设圆曲线

(2)切线支距法测设步骤

1)安置仪器在交点位置,定出JD到ZY和JD到YZ两条直线段的方向,如图11-4所示。

2)自ZY点出发沿着到JD的方向,依次水平丈量Pi点的横坐标xi,得到在横坐标轴上的垂足Ni

3)在各个垂足点上用经纬仪标定出与切线垂直的方向,然后在该垂直方向上依次量取对应的纵坐标,就可以确定对应的Pi点。

4)在该曲线段的放样完成后,应量取各个相邻桩点之间的距离与计算出的弦长C进行比较,如果两者之间的差异在允许的范围之内,则曲线测设合格,在各点打上木桩。

5)同样方法可以进行从YZ点到QZ点之间曲线段的细部点的测设工作,完成后应进行校核。

该方法适用于平坦开阔地区,各个测点之间的误差不易累积。

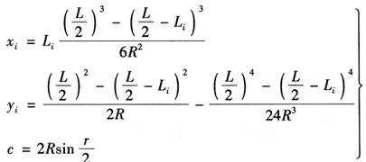
3.弦线支距法

弦线支距法又称“长线支距法”,也是一种直角坐标法。此法以每段圆曲线的起点为原点,以每段曲线的弦长为横轴,垂直于弦的方向为纵轴,曲线上各点用该段的纵横坐标值来测设。实际工作中,先可以是ZY至YZ之间的距离,也可以是任意的,图11-5中以ZY至A,A应根据实地需要选择。

图11-5 弦线支距法测设圆曲线

(1)测设所需数据的计算

测设所需数据的计算公式如下。

式中 Li——置仪器点至测设点i的圆曲线长;

L——分段的圆曲线长。

(2)弦线支距法的测设步骤

1)安置仪器于ZY(YZ)点,后视交点,拨角δ1定出圆曲线第一段弦的方向,在弦的方向上按xi、yi值测设圆曲线上各点。

2)若圆曲线较长,则置仪器于A点,后视ZY点或YZ点,拨角δ2定出第二段弦的方向,按同样方法继续测设圆曲线上其他点。

随便看

 

文网收录3541549条中英文词条,其功能与新华字典、现代汉语词典、牛津高阶英汉词典等各类中英文词典类似,基本涵盖了全部常用中英文字词句的读音、释义及用法,是语言学习和写作的有利工具。

 

Copyright © 2004-2024 Ctoth.com All Rights Reserved
京ICP备2021023879号 更新时间:2025/10/17 18:52:27