网站首页  词典首页

请输入您要查询的字词:

 

字词 常用的技术经济评价方法
类别 中英文字词句释义及详细解析
释义

常用的技术经济评价方法


(一)盈亏分析法

盈亏分析法就是通过分析产量、售价、成本与企业盈亏之间的关系来选择合理的技术方案的方法。下面用盈亏分析图8-4说明该种方法。

图8-4 盈亏分析图

X-产量;V-销售单价;D-单价产品成本中可变费用;C-总成本中固定费用;P-总盈利;X0-盈亏分岐点产量;P0-盈亏分岐点

销售收入=销售单价×产量(即V·X)

总成本=固定费用+全部可变费用(即C+D·X)

当盈利为0时,销售收入等于总成本,即

V·X=C+D·X (8-16)

此时,直线V·X与总成本直线(C+D·X)相交于P0点,P0点称之谓“盈亏分岐点”,对应于P0点的产量X0即为盈亏分岐点的产量。其计算公式由式(8-17)求得。

当产量大于X0时,销售收入大于总成本,其总利润为P;当产量小于X0时,销售收入小于总成本,发生亏损。盈亏公式为:

P=V·X-(C+D·X) (8-18)

盈亏分析法的应用很方便,只要先划一条销售收入线,再分别划各方案成本线,求出交点的对应的产量,即可进行分析。

(二)方案比较法

方案比较法是借助于一组表示方案技术经济效果的指标,对满足同样使用要求的几个技术方案进行计算、分析和比较,然后选出其中的最优方案。此法简单,使用较普遍。

1.产量不同的可比方法

具有同样功能和价值的两个方案,如果产量不同,其投资额和经营费用没有可比性,不能直接比较。欲进行比较必须将总投资额和总经营费用换算成单位产品的投资额和经营费用,然后进行比较,决定优选。

2.质量不同的可比方法

具有不同技术特征的技术方案,其产品质量和使用价值不同,欲使其可比,必须根据被比较方案的不同使用效果,求出使用效果系数

式中 α——使用效果系数;

E1——方案1的使用效果(如使用寿命或可靠性);

E2——方案2的使用效果(如使用寿命或可靠性)。

利用使用效果系数,调整其中一个方案的费用,使两个方案的费用在相同质量标准或使用价值的基础上进行比较。举例说明,如表8-1。

表8-1 投资方案比较

第一步:将产品的使用寿命代入(8-19)式得

第二步:用α系数对第二方案的投资费用和年经营费用进行调整:

第三步:将调整后的第二方案的费用与第一方案进行比较:

投资比较:60一50=10(万元)

经营费用比较:250-200=50(万元)

第四步:结论。由比较结果可知,第二方案的投资经费较第一方案节约了10万元,经营费用节约50万元。因此,从使用价值和经济效果看,应采用最新技术的方案。

3.消耗费用的可比性

具有不同技术特性和经济特性的技术方案,其消耗的劳动和费用必然不同,欲进行可比,必须从社会和整个国民经济的全局出发,既要考虑制造部门的消耗,又要考虑使用部门的消耗,计算出各个方案所需的全部消耗费用,这样就有了可比性。比如,仅以成本来考虑,粗制烂造的必然低,但消费者都要吃苦头,这就没有可比性。

4.综合分析比较

在进行方案分析比较时,除了对各方案的每项指标进行等同化的分析、计算、比较之外,还应对各方案的优缺点和各项指标进行综合分析、论证和评价。因此,技术方案的优缺点不可能通过数学公式来计算,还要考虑许多实际条件和因素。只有通过综合分析和评价,才能选定最合理的技术方案。

5.确定对比方案的指标体系

对比方案确定以后,还需确定对比方案的指标体系,从而才使方案具有可比性。一般而言,技术经济指标体系的内容如图8-5所示。

图8-5

(三)技术经济综合评价法

综合评价的目的,是为了对技术方案,如工程设计、基建、施工、生产,技术改造等进行全面审查,判别方案的综合效果,从而优选方案。

1.综合评价内容(如表8-2)

表8-2 综合评价内容

2.综合评价方法

(1)加法。这种方法是先将每项评价内容按照实现程度分为若干等级,分别给予不同的分数标准(可采用百分法或5级记分法)。然后求其总和或总平均分数,即为综合单目标标准数值,其计算公式为:

式中 FΣ——各项标准评分总和;

Fρ——每次标准得分;

p——被评价的标准数目。

若各项评价内容在整个技术方案中占有不同的重要性,可以将各项评价内容给予不同的权值。因此(8-20)式可写成:

式中Xp为权值。

(2)乘法。即将每项标准的得分数相乘,或将乘积开方。其计算公式为:

F=(X1F1)·(X2F2)·…·(XpFp) (8-22)

式中符号的意义同式(8-20)、(8-21)。

(3)除法。对每个方案被评价标准的所得分数,用相除的方法计算综合单目标数值。其计算公式为:

式中α1·α2·…·αn为要求愈小愈好的每个评价指标的比值或百分数;β1·β2·…·βm为要求愈大愈好的每个评价指标的比值或百分数。

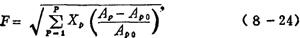
(4)最小二乘法。先对每个标准设置一个预想的最高目标值(达到者为满分)。然后求得每个标准的实际数值,二者的差数并予以平方(方差最小最好),其计算公式为:

式中 Ap0——评价标准指标的预想值;

Ap——每个评价标准指标的实际值。

以上几种方法可以根据实际情况采用。当每个标准得分之间的差距不大,而重要程度差异很大,使用“加法”比较合适;得分差距较大而重要程度差异不大,用“乘法”比较合适;得分差距和重要程度差异都很小,则“加法”和“乘法”均可采用。

综合评价方法中,对评分标准的制定,各标准的重要系数制定以及对每个标准评分,都可采用专门调查法,如专家调查法、函询法或走访调查。

随便看

 

文网收录3541549条中英文词条,其功能与新华字典、现代汉语词典、牛津高阶英汉词典等各类中英文词典类似,基本涵盖了全部常用中英文字词句的读音、释义及用法,是语言学习和写作的有利工具。

 

Copyright © 2004-2024 Ctoth.com All Rights Reserved
京ICP备2021023879号 更新时间:2025/10/18 15:15:12