晶体从水溶液中生长,一般可分为如下两个主要阶段:
(一)第一阶段
是结晶物质向生长界面的扩散过程。受扩散速率控制时的晶体生长速率(GM)为.

式中 GM——晶体的生长速率〔kg/(m2·h)〕
A——晶体表面积(m2)
c——溶液主体浓度(kg/m3)
c1——生长界面层浓度(kg/m3)
——扩散传质系数
DL——结晶物质在溶液中的扩散系数
δ——生长界面外溶液扩散层厚度
(二)第二阶段
是聚集在生长界面的结晶物质进入晶格座位的反应过程。受反应速率控制时的晶体生长速率为:

式中 c0——结晶溶液的饱和浓度(kg/m3)
Kr——表面反应速度系数
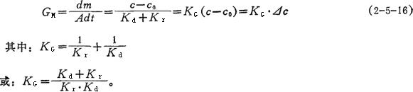
(三)生长恒稳态
当晶体生长处于恒稳态时,结晶物质的扩散速率和反应速率相等,因此(2-5-14)、(2-5-15)两式中的GM值相等,合并两式可得:

式中 KG——晶体生长总系数,或称供应系数
(c—c0)——即⊿c,是作为总推动力的总浓度差——过饱和度