(一)原理 硫化物与碘液作用,过量的碘采用碘量法直接滴定;借以测定样品中硫化物。
(二)适用范围 黑卤
(三)测定手续 吸取5~20.00ml样品溶液,于250ml盛有10~20.00ml 0.01N碘溶液(20.00ml)的定碘瓶中,加水至约50ml,加1ml 1∶4盐酸溶液,用硫代硫酸钠标准溶液滴定至浅黄色,加2ml 1%淀粉指示液,继续滴定至无色。同时作空白试验。
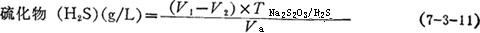
(四)计算

式中 V1——空白试验硫代硫酸钠标准溶液用量(ml)
V2——滴定剩余碘溶液时硫代硫酸钠标准溶液用量(ml)
——硫代硫酸钠标准溶液对硫化氢的滴定度(g/ml)
Va——取样品量(ml)