网站首页  词典首页

请输入您要查询的字词:

 

字词 2,3二磷酸甘油酸支路
类别 中英文字词句释义及详细解析
释义
2,3二磷酸甘油酸支路

2,3二磷酸甘油酸支路

成熟红细胞内没有线粒体氧化途径,糖酵解是其获得能量的基本过程。红细胞糖酵解与其它细胞不同之处是2,3二磷酸甘油酸(2,3-DPG)的生成。而且其2,3-DPG的含量甚多(见表),大大超过促进糖酵解进行所需要的能量。用14C标记的葡萄糖与红细胞悬液一同保温,发现酵解生成的中间产物,1,3二磷酸甘油酸进一步转化生成乳酸,这一经2,3DPG的侧支循环称为2,3-DPG支路(图1)。
红细胞中糖酵解中间产物浓度(mmol/L红细胞)

糖酵解中间产物动脉血静脉血
6磷酸葡萄糖
6磷酸果糖
1,6二磷酸果糖
磷酸丙糖
3磷酸甘油酸
2磷酸甘油酸
磷酸烯醇式丙酮酸
丙酮酸
2, 3DPG
30.0
9.3
0.8
4.5
19.2
5.0
10.8
87.5
3400
24.8
3.3
1.3
5.0
16.5
1.9
6.6
143.2
4940

图1 2,3DPG支路


现已确定,红细胞中存在两种特殊的酶,即DPG变位酶及2,3DPG磷酸酶。前者以3磷酸甘油酸为辅酶,催化1,3二磷酸甘油酸转变为2,3DPG;后者催化2,3DPG水解生成3磷酸甘油酸。这两步反应共消耗能量59kJ/mol(14kCal/mol),故反应是不可逆的。此两种催化反应如下:


在正常情况下,2,3 DPG对DPG变位酶的负反馈作用大于对3磷酸甘油酸激酶的抑制作用,所以红细胞中葡萄糖实际上仍是主要经酵解途径生成乳酸。只是由于2,3DPG磷酸酶活性较低,致使2,3DPG的生成大于分解,才使红细胞中2,3DPG的含量较高。
红细胞中的2,3DPG除与其它细胞中一样作为酵解酶系中磷酸甘油酸变位酶的辅酶外,更重要的作用是调节Hb的带氧功能。
2,3DPG对Hb结合的影响,红细胞中2,3DPG的浓度是调节Hb对O2亲和力的重要因素。DPG分子的特点是分子量不大,但荷有高密度的负电 (由羧基和磷酸根的解离生成)。
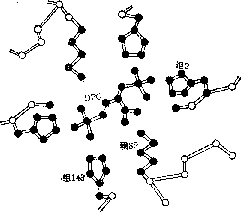
DPG能与Hb结合,其结合部位是在Hb的四个亚基对称中心的孔穴内,荷负电的DPG与每条β链上的三个荷正电荷的基团(2位组氨酸的残基的α氨基,82位赖氨酸残基的侧链及143位组氨酸残基异吡唑环)结合,因DPG的结合而稳定了Hb的空间构象,这样就降低了Hb对O2的亲和力,使氧离子曲线右移。(图2和图3)。

图2 DPG和Hb结合模式图DPG与每条β链的3个正电基团结合

图3 红细胞中2, 3-DPG浓度对HbO的氧离曲线的影响


Hb和O2的亲和力能被DPG降低,这一现象有重要的生理意义。从图3可看出,DPG使氧解离曲线右移,在曲线的中段尤其明显。血液通过肺部时,O2分压高,受DPG的影响不大,当血液通过毛细血管和外周组织[O2分压为5.332kPa(40mmHg)]时,红细胞DPG的存在就能显著增加氧的释放以供组织的需要。人体可通过红细胞中DPG浓度的改变来调节组织的耗氧量,这对人体在某些缺氧情况下的代偿有重要意义。
严重阻塞性肺气肿病人有肺部换气障碍,动脉血O2分压可降至6.665kPa(50mmHg),动脉血O2饱和度也降低,此时红细胞内的DPG浓度可代偿地增加(从正常的4.5mmol/L增至8mmol/L),使氧解离曲线右移,有利于组织获取较多的氧。
关于适应高山的呼吸生理,现在已弄清楚是通过红细胞内的DPG浓度改变来实现的。当正常人在短时间内由海平面上升至海拔数千米的高山或高空时,红细胞中的DPG浓度在一天内就迅速增加,使Hb对O2亲和力下降,当回到平地时,又随之恢复。
由于DPG对Hb结合O2起重要的调节作用,现已注意到血液储存中红细胞内的DPG浓度变化。用酸性柠檬酸盐葡萄糖(ACD)溶液储存的血液中红细胞的DPG浓度在10天内从正常的4.5mmol/L降至0. 5mmol/L,致使Hb对O2的亲和力增加,Hb的氧解离曲线左移、输入这种血液当其通过组织时,只能释出少量的O2。
胎儿红细胞的血红蛋白是HbF(α2γ2)。HbF对氧的亲和力比HbA高,这使胎儿血液流经胎盘时,HbF能从胎盘的另侧母体的HbA获得氧而氧合。现在已知道γ链的143位是丝氨酸(β链的143位是组氨酸),使HbF结合DPG的能力弱,因而对氧的亲合力高。
☚ 磷酸戊糖途径   糖醛酸途径 ☛
00000679
随便看

 

文网收录3541549条中英文词条,其功能与新华字典、现代汉语词典、牛津高阶英汉词典等各类中英文词典类似,基本涵盖了全部常用中英文字词句的读音、释义及用法,是语言学习和写作的有利工具。

 

Copyright © 2004-2024 Ctoth.com All Rights Reserved
京ICP备2021023879号 更新时间:2025/10/17 15:42:46