网站首页  词典首页

请输入您要查询的字词:

 

字词 决策分类和决策方法(二)
类别 中英文字词句释义及详细解析
释义
决策分类和决策方法(二)

决策分类和决策方法(二)

前面我们介绍了决策方法的主要种类,下面我们就决策分类的具体方面同决策方法结合起来阐释。
(1)战略决策、非程序化决策、不确定型决策中运用的方法:
❶淘汰法,即决策者根据条件和评价标准,对全部备选方案进行逐个筛选,淘汰那些不理想或达不到要求的方案,缩小选择范围。具体方法是:规定最低满足程度,凡达不到的,就加以淘汰; 规定约束条件,凡备选方案中不符合约束条件的就淘汰。例如,某企业需要调整机构,有几种方案。约束条件:管理人员总数不能增加。于是,凡增加人员的方案就淘汰;
根据目标的主次来筛选,我们应以主要目标为依据,将对主要目标作用不大的方案去掉。

❷环比法,即当各方案的优势不明显,并且相互间优劣关系比较复杂时,可将方案互相比较,两两对比,优则得分,劣者不得分,然后计算总积分来定方案的优劣次序。图示如下。



❸归类法,即当备选方案太多,如逐个选择或环比就比较复杂,因此,把方案分为几大类,然后用两种方法来简化选择。
由下向上分组淘汰。即先在每一类方案内进行比较,选出一个最好的方案,同时舍去其他方案; 然后对选出的方案进行比较。
由上往下分类挑选,即先分类进行淘汰,然后再从较好的类别中挑选出好的方案。例如某公司为增加公司竞争能力和抗风险能力,决定的方案可分为收购原材料厂、收购销售公司,兼并同行业其他企业三大类。经过分析,认为兼并方案类最优,就进一步研究各种兼并方案。
(2)确定性决策主要运用直观判断法、量本利分析法、差量分析法。
❶直观判断法,即从已有的定量分析资料中,直观、方便地选择有利方案的方法。一般用于简单的决策。例如:一企业拟向三个项目投资而收益率不同,如无其他条件限制,应选收益率最高的项目。

❷ 量本利分析法,亦称为盈亏平衡分析法。这是根据各备选方案的产量(销售量)、成本费用和利润三者之间的关系,综合分析企业盈亏的决策方法。
量、本、利的定义。“量”即产量或销售量;“本”即成本(费用),包括固定成本和变动成本。变动成本是指随产量变化的费用,如主要材料; 固定成本是不随产量变化的费用,如管理费用。
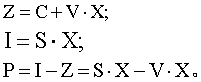
三者的关系如下:令Z为总成本、C为固定成本、I为销售额、X为销售量、P为利润、S为产品单价、V为单位变动成本,则:


盈亏平衡点,即总销售收入曲线与总成本曲线的交点,也就是企业不盈不亏,又叫保本点。这时的产量叫临界产量,令之为Xo
图示如下:


例:某公司产品的销售额为5万元/台,单位变动成本为3万元,固定成本为200万元,求临界产量和销售额?
解:
临界产量为:


临界产量的销售额为:



❸差量分析法,这是在各备选方案产生的预期收入与预期成本之间差量的基础上,选择满意方案的方法。差量即各方案之间的差别。差量分析一般包括差量收入,差量成本和差量利润。差量收入是指一个可选方案的预期销售额同另一个方案的预期销售额之间的差额数。差量成本是指一备选方案的预期变动成本与另一方案的预期变动成本之差额。如果差量收入大于差量成本,即差量利润为正,这一方案好; 反之则后一方案好。
☚ 决策分类和决策方法(一)   决策分类和决策方法(三) ☛
00003010
随便看

 

文网收录3541549条中英文词条,其功能与新华字典、现代汉语词典、牛津高阶英汉词典等各类中英文词典类似,基本涵盖了全部常用中英文字词句的读音、释义及用法,是语言学习和写作的有利工具。

 

Copyright © 2004-2024 Ctoth.com All Rights Reserved
京ICP备2021023879号 更新时间:2025/10/18 10:18:36