含硫辐射防护剂
一些含硫化合物,在动物试验中,能减轻辐射效应一半左右,一般在照射前给药才有效果。这类药曾试用于放疗病人,可分为以下几类。
(1)氨巯基化合物:含有巯基的胺(包括潜伏的巯基或氨基,其中以半胱胺酸、半胱胺(MEA)、胱胺、S,2-氨乙基异硫脲(AET)、2,2-二甲基四氢噻唑、2-氨乙基硫代磷酸钠和2(3-氨丙基)氨乙基硫代磷酸等在动物上效果较好。
有的已试用于临床。盐酸胱胺:在分子、细胞水平研究可见到一定防护效果外,尚可提高实验动物活存率,减轻放疗病人的反应。小鼠受γ线照射前,灌服此药,可使照射后30天的半数致死剂量(LD50/30) 由450±14rad提高到550±16rad; 使~60%致死剂量 (LD60/30)γ线照射狗活存率提高30%,使~70%致死剂量(LD70/30)快中子照射狗提高活存率25%,使100%致死剂量核爆炸时γ线和中子混合照射狗活存率提高30%。子宫颈癌患者放疗前服用此药则血液白细胞下降程度有所减轻,回升较快,外周血淋巴细胞染色体畸变率及骨髓分裂细胞畸变率较低,骨髓退变细胞数目亦较少。动物实验证明此药在胃内基本不吸收,小肠内吸收快而完全,分布在肝、肾、骨髓、肾上腺的浓度最高。狗口服此药后30分钟血中药物浓度开始上升,一小时半达高峰,3小时后降到很低的水平。药物主要通过肾脏排泄,体内无积蓄作用。服药后对胃粘膜有类似阿司匹林样刺激作用,可能出现一过性胃部不适感。棕榈酸胱胺的辐射防护效果与盐酸胱胺相似,但对胃肠道刺激性较小,有效时间也较长。

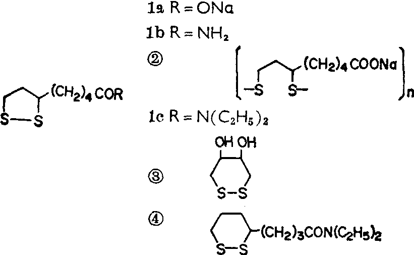
(2) 环状双硫化合物: 有二硫杂五元环化合物如硫辛酸钠1a,硫辛酰胺1b等硫辛酸类化合物。其中聚硫辛酸钠
❷对于受照射动物的造血组织损伤有防护作用,照后应用也有一定效果; N,N-二乙基硫辛酰胺1c则安全系数大,不良反应小。二硫杂六元环化合物如二硫代苏糖醇
❸,N,N-二乙基-5,8-二硫辛酰胺
❹均有防护效果,后者更为明显,并且照后应用也有一定作用。

(3) 其它含硫化合物: 有二硫氨甲酸盐类 (RNHCSSM),2,3-二巯基丙醇(HSCH
2CH(SH)CH
2OH),1,2-二巯基丙磺酸钠 (HSCH
2CH(SH)CH
2SO
3Na),巯基乙酸(HSCH
2COOH)等。近年发现巯基或双硫代脂肪酸衍生物也有效,其中2-巯基丙酰甘氨酸(CH3CH(SH)CONHCH
2COOH)毒性较低。