〇戊酸倍他米松
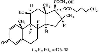
【别名】:戊酸倍氟美松 【化学名称】9-fluoro-11β,17,21-trihydroxy-16β-methypre gna-1,4-diene-3,20-dione17-valerate 【化学结构】  【性状】白色或近白色无味晶状粉末,熔点183~184℃。几乎不溶于水,易溶于丙酮和氯仿,溶于乙醇,微溶于苯和乙醚。 【药理作用】和典型的局部用皮质激素相似,本品通过抗炎、止痒和收缩血管等药理作用对皮肤病治疗产生疗效。但其抗炎活性的作用机制不清楚。皮质类激素可诱导磷脂酶A2抑制蛋白的产生,即所谓的脂皮质激素。由于花生四烯酸是从磷脂酶A2合成的磷脂膜释放的,可推测这些蛋白通过抑制共同前体花生四烯酸的释放来控制前列腺素和白三烯等炎性介质的生物合成。 本品对钠和水潴留作用较氢化泼尼松和泼尼松弱,而与地塞米松大致相当,抗炎作用较强。 【药代动力学】本品为皮肤局部用药,可通过正常未破损皮肤吸收。皮肤炎症或其他疾病可促进本品的透皮吸收。皮质激素类药物经包封后也可促进透皮吸收。因此包封技术对顽固性皮肤病的治疗有重要价值。本品一旦经皮肤吸收,其代谢途径与全身给药相似。首先经肝脏代谢,然后经肾脏排泄。另外某些皮质激素及其代谢产物也经粪排泄。 【适应证】本品为中等强度的皮质激素,用于对皮质激素敏感的皮肤病之炎症和瘙痒如牛皮癣等。 【剂量与用法】喷少量泡沫于手指上,然后缓慢涂抹到皮肤病变部位,至泡沫消失,这样重复几次直至涂满整个病变部位。每日早、晚各 1次。 【临床评价】本品的安全性和有效性通过 190 例病人 4周的临床试验得到确证。对其中159例头部癣症病人的疗效明显优于安慰剂组。 【不良反应】最常见使用部位出现烧灼、刺痛。有可能因使用本品而出现皮肤感觉异常、瘙痒、粉刺、脱毛和结膜炎。少数病人由于全身吸收可能导致可逆性丘脑-垂体-肾上腺(HPA)轴抑制、Cushi ng综合征和糖尿病。 【注意事项】和其他皮质激素合用时,当症状得到控制时应停止使用。本品连续使用不宜超过2周,如果使用 2周未见改善,应重新诊断,调整治疗方案。本品应在低于 49℃ 下避热保存。 【制剂规格】0.12 % 发泡剂:每管 100g。 【生产厂家】美国 Connetics公司。 |