网站首页  词典首页

请输入您要查询的字词:

 

字词 多个直线回归方程比较
类别 中英文字词句释义及详细解析
释义
多个直线回归方程比较

多个直线回归方程比较

多个直线回归方程的比较可用于:
❶分析某因素对两变量的直线回归有无影响,如研究胆固醇随年龄增加的直线回归是否受地区的影响;
❷检验多个直线回归方程的回归直线是否平行或重合;
❸为协方差分析作准备。进行比较的样本须具备以下条件: 各总体回归系数均不等于0;各总体回归直线的剩余均方相等。
多个直线重合检验 步骤如下:
(1)作检验假设,H0为各总体回归直线重合,包括各总体回归系数相等和各总体截距相等。
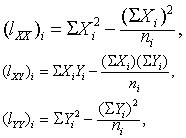
(2) 计算下列各项数值,Xi与Yi分别为第i条直线的自变量与应变量。

直线1ni
n1
∑Xi
∑X1
∑X2i
∑X21
∑Yi
∑Y1
∑Y2i
∑Y21
∑XiYi
∑X1Y1
i
1
i
1
 ⋮ ⋮ ⋮ ⋮ ⋮ ⋮ ⋮ ⋮ ⋮
直线k
合 计
nk
N
∑Xk
∑X
∑X2k
∑X2
∑Yk
∑Y
∑Y2k
∑Y2
∑XkYk
∑XY
k
k

(3)计算表1各项数值,其中


式中i为直线号,i=1,2,…,k。

表1 多个直线回归方程比较计算表



(4)计算统计量F值。


(5)查F界值表得P值,按所取检验水准作出推断结论。若不拒绝H0,可认为各直线重合,必要时,可将所有直线合并为一条直线;若拒绝H0,则可认为各直线均不重合或不全重合。至于是因为各总体回归系数不同,或因为各总体截距不同使各直线不重合,则须分别再作下述检验。
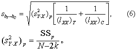
多个样本回归系数的比较 作检验假设,H0为各总体回归系数βi相等。用表1的下半部数值按式(2)计算F值。


查F界值表得P值,按所取检验水准作出推断结论。若拒绝H0,则认为各总体回归系数βi间有差别,需要时可进一步作两两比较,推断哪两个βi值间有差别;若不拒绝H0,则可认为各βi值相等,只有各βi相等时,才进一步检验各截距间有无差别。
多个样本截距的比较 作检验假设,H0为各总体截距相等。按式(3)计算F值。

查F界值表得P值,按所取检验水准作出推断结论。若不拒绝H0,可认为各总体截距亦相等,各直线重合;若拒绝H0,可认为各截距不等,需要时再进一步作截距间的两两比较。
例1 四个健康猴,胸腔压力X(cm水柱)和肺容量Y (ml)资料如下,试检验四条回归直线间有无差别。

1号猴2号猴3号猴4号猴
X1
2.0
1.8
3.9
2.5
Y1
45
47
72
49
X2
3.2
1.5
1.0
1.8
Y2
57
30
28
31
X3
2.5
0.6
1.5
2.1
Y3
60
22
40
55
X4
1.4
3.0
4.0
5.0
Y4
33
60
66
87

(1)检验各直线是否重合。
H0: 各直线重合,
H1: 各直线均不重合或不全重合。
a= 0.05。

 ni∑Xi∑X2i∑YiΣY2i∑XiYi
1号猴
2号猴
3号猴
4号猴
合 计
4
4
4
4
16
(N)
10.2
7.5
6.7
13.4
37.8
(∑X)
28.70
16.73
13.27
51.96
110.66
(∑X2)
213
146
177
246
782
(∑Y)
11819
5894
8709
16614
43036
(∑Y2)
577.9
311.2
338.7
925.2
2153.0
(∑XY)

表2 四个直线回归方程比较的计算结果(按表1公式)


 (lXX)i(lXY)i(lYY)ibi剩 余
平 方 和自 由 度
直线1
直线2
直线3
直线4
2.6900
2.6675
2.0475
7.0700
34.750
37.450
42.225
101.100
476.75
565.00
876.75
1485.00
12.9182
14.0394
20.6227
14.2999
27.8420
39.2259
5.9560
39.2843
2
2
2
2
直线内
回归系数间
    112.3082
82.1399
8(=16-2×4)
3(=4-1)
公共回归
截距间
14.4750215.5253403.5014.8895194.4481
250.6815
11(=16-4-1)
3(=4-1)
总 计21.3575305.5254815.75——445.129614(=16-2)

按式(1)得


查F界值表得0.05>P>0.01,按a=0.05水准拒绝H0,接受H1,可认为各组直线不重合,再分别进行回归系数间和截距间的假设检验。
(2)各样本回归系数的比较。
H0: 四个总体回归系数βi相等,
H1: 四个βi不等或不全相等。
a=0.05。按式(2)得


查F界值表得P>0.05,按a=0.05水准不拒绝H0,可认为各βi相等。
(3)各样本截距的比较。
H0: 四个总体截距相等,
H1: 四个总体截距不等或不全相等。
a=0.05。按式(3)得


查F界值表得0.05>P>0.01,按a=0.05水准拒绝H0,接受H1,可认为各截距不等或不全相等。即四条直线相互平行,但截距不等或不全相等。
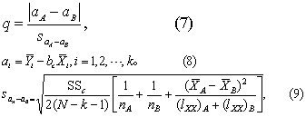
多个样本回归系数的两两比较 经假设检验,几条直线的回归系数间若有差别,需要弄清是哪两条直线间有差别,哪两条间没有差别,可用回归系数间两两比较的q检验。方法与均数间两两比较相似,步骤如下:
(1)作检验假设,H0为各总体回归系数两两相等,即βA=βB,A、B是任两个对比的组。
(2)按式(4)计算回归系数两两相差的标准误SbA-b


式中下标A、B为相互比较组的组号,下同。
(3)将回归系数由大至小排列,如依次为b4、b3、b2、b1,计算这些回归系数两两之差及其相应的所包含的组数。如比较b4与b3、b3与b2 、b2与b1时,组数为2;比较b4与b2、b3与b1时,组数为3;比较b4与b1时组数为4。
(4) 按式(5)计算q值。


(5)根据组数和SSp的自由度查q界值表 (见条目“多个样本均数间的两两比较”),按所取检验水准作出推断结论。
若几个实验组T的回归系数都要与一个对照组C的回归系数作比较,则可用Dunnett检验,其标准误的计算公式为


例2 三只实验猴的胸腔压力X (cm水柱)和肺容量Y(ml)资料如下,初步计算结果见表3,经假设检验已知其总体回归系数间有差别,试作两两比较。

实验猴1实验猴2实验猴3
X1
2.8
2.4
1.8
1.7
Y1
90
80
62
57
X2
2.6
2.4
2.3
1.9
2.7
Y2
53
45
40
35
50
X3
1.7
1.4
1.2
1.2
Y3
93
77
57
63

H0: βAB
H1: βA≠βB
α=0.05。

表3 初步计算结果(按表1公式)


 (lXX)i(lXY)i(lYY)ibi剩 余
平方和v
直线1
直线2
直线3
0.8075
0.3880
0.1675
23.925
8.560
11.150
712.75
213.20
771.00
29.6285
22.0619
66.5672
3.8885
24.3505
28.7761
2
3
2
直线内
回归系数间
    57.0151
243.0066
7
2
公共回归1.363043.6351696.95 300.02179


各b值由大至小排列: b3=66.5672,b1=29.6285,b2=22.0619。

表4 各回归系数的两两比较


查q界值表(见条目“多个样本均数间的两两比较”,表1)得P值,见表4。按α=0.05水准拒绝H0,接受H1者在相应的q值右上角记“*”;不拒绝H0者无“*”,故可认为直线3的回归系数大于直线1与2的回归系数; 直线1与直线2的回归系数间无差别。
多个样本截距的两两比较 经假设检验,多个总体截距间有差别,若需进一步作两两比较,亦可用q检验,步骤与多个样本回归系数间的两两比较相同。统计量q值的计算公式为

式中SSc/(N-k-1)为公共回归的剩余方差(sY·X2)c。若几个实验组T的截距都要和一个对照组C的截距作比较,亦可用Dunnett检验,其标准误的计算公式为


例3 例1中测得四条直线的截距不等,试作两两比较。
H0: 任两总体A、B的截距相等,
H1: 任两总体A、B的截距不等或不全相等。
α=0.05。
由例1资料算得
n=4,bc=14.8895,SSc=194.4481。

ii(lXX)iai
直线1
直线2
直线3
直线4
2.550
1.875
1.675
3.350
53.25
36.50
44.25
61.50
2.6900
2.6675
2.0475
7.0700
15.2818
8.5822
19.3101
11.6202

ai按式(8)计算,如a1=53.25-14.8895(2.550)=15.2818。
各saA-aB按式(9)计算,如


同理可算得: sa2-a3=2.1200,sa3-a4 =2.6719,sa1-a3=2.4182,sa2-a4=2.5286,sa1-a4=2.2358。
将ai由大到小排列:
a3=19.3101,a1=15.2818,a4=11. 6202,a2=8.5822。
按式(7)作a3与a1比较,

理算得有关q值,见表5。

表5 各截距的两两比较

比较组q组数自由度P
a3与a2
a3与a4
a3与a1
a1与a2
a1与a4
a4与a2
5.06*
2.88
1.67
2.95
1.64
1.20
4
3
2
3
2
2
11
11
11
11
11
11
0.05>P>0.01
>0.05
>0.05
>0.05
>0.05
>0.05
查q界值表得P值,见表5。仅a3与a2比较,按a=0.05水准,拒绝H0,接受H1,说明直线3的截距大于直线2的截距。其余均不拒绝H0,不能认为有差别。
☚ 两直线回归方程比较   直线相关 ☛
00013255
随便看

 

文网收录3541549条中英文词条,其功能与新华字典、现代汉语词典、牛津高阶英汉词典等各类中英文词典类似,基本涵盖了全部常用中英文字词句的读音、释义及用法,是语言学习和写作的有利工具。

 

Copyright © 2004-2024 Ctoth.com All Rights Reserved
京ICP备2021023879号 更新时间:2026/3/10 23:04:44