网站首页  词典首页

请输入您要查询的字词:

 

字词 数学期望
类别 中英文字词句释义及详细解析
释义

数学期望

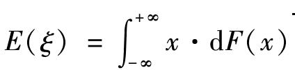
简称“期望”。定义为:设ξ为随机变量,其分布函数为F(x),


存在,则记

称E(ξ)为ξ的数学期望。本定义所用积分为黎曼—斯蒂尔吉斯(R-S)积分。常被应用于测验分数统计中。
数学期望

数学期望shuxue qiwang

设离散型随机变量的概率密度为P {X=xk}=pk,k=1,2,3,…,若级数绝对收敛,则称为x的数学期望,简称期望或均值,记作E (X),即
设连续型随机变量X的概率密度函数为f(x),若积分绝对收敛,则称为x的数学期望,简称期望或均值,记作E (X),即
随机变量的数学期望具有以下性质:
❶E (C) =C,C是常数;

❷E (X+Y) =E (X) +E (Y);

❸E (kX) =kE (X),k是常数;

❹设X,Y是相互独立随机变量,且E(x),E (Y)存在,则E (XY) =E (X) ·E (Y)。
应当注意,当说数学期望表示随机变量的平均值时,是指随机变量独立地取比较多的值,这些值的平均值稳定在随机变量的数学期望上。其次,数学期望表示随机变量的平均位置特征。
特别指出的是,并不是所有随机变量都有它的数学期望值,如服从柯西分布的随机变量X就不存在数学期望,它的概率密度函数-∞ dx不收敛。

☚ 概率分布的分位点   方差 ☛

数学期望

又称“均值”。随机变量重要的数字特征。反映随机变量的平均取值。通常随机变量ζ的数学期望记为Eζ或Mζ。如果一随机变量ζ取值x1,x2,…,xn的概率分别为p1,p2,…,pn,则Eζ。对于一般的随机变量,数学期望可由级数或积分表示。

数学期望mathematical expectation

是随机变量取值的平均。如总体平均数μ为随机变量X的数学期望,符号为E (x)。总体方差σ2为随机变量(x-μ)2的数学期望,符号为E〔(x-μ)2〕。μ和σ2是最主要的两个数学期望。各种分布的统计量均有它的数学期望。

数学期望

数学期望mathematical expectation

亦称“期望”、“均值”。随机变量最基本数学特征之一。反映随机变量平均取值的大小,是简单算术平均的一种推广,类似加权平均。

☚ 权重   中数 ☛
00003157
随便看

 

文网收录3541549条中英文词条,其功能与新华字典、现代汉语词典、牛津高阶英汉词典等各类中英文词典类似,基本涵盖了全部常用中英文字词句的读音、释义及用法,是语言学习和写作的有利工具。

 

Copyright © 2004-2024 Ctoth.com All Rights Reserved
京ICP备2021023879号 更新时间:2025/10/17 16:46:02