网站首页  词典首页

请输入您要查询的字词:

 

字词 杀草净
类别 中英文字词句释义及详细解析
释义

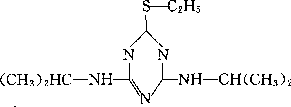
杀草净dipropetryn

三氮苯类内吸、选择性除草剂。化学名称:2-乙硫基-4,6-双(异丙胺基)-均三氮苯。化学结构式如下。纯品为白色固体,熔点104~106℃,几乎不溶于水,易溶于有机溶剂,在土壤中淋溶性差。可通过根部内吸,抑制植物的光合作用。适用于棉田、西瓜田使用,防除一年生禾本科杂草与阔叶杂草,如稗草、碱草、马唐、千金子、苋、藜、蓼、牵牛花、龙葵等。对人、畜低毒,大鼠急性口服LD50>5 000 mg/kg。

随便看

 

文网收录3541549条中英文词条,其功能与新华字典、现代汉语词典、牛津高阶英汉词典等各类中英文词典类似,基本涵盖了全部常用中英文字词句的读音、释义及用法,是语言学习和写作的有利工具。

 

Copyright © 2004-2024 Ctoth.com All Rights Reserved
京ICP备2021023879号 更新时间:2025/10/17 22:23:25