| 释义 |
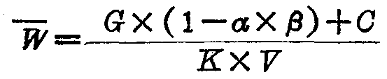
材料包装费材料在运输过程中所需要包装物品发生的费用。分为供销部门原带包装物品和采购部门自购包装物品两种。材料包装费实际上是指采购部门自购包装物品所发生的费用。其计算公式为:  式中: ——为包装费用; G——包装容器原价; α——包装材料回收量比例; β——包装材料回收值比例; C——使用期间维修费; K——包装物品周转使用次数; V——包装容器标准容量或重量。 对于供应部门原带包装物品,因包装费用已经计入材料原价内,所以不必另外计算。但要计算包装器材回收值,并从包装费用中扣除。其计算公式为: 式中:B ——包装器材回收值; G——包装器材原价; α——包装器材回收量比例; β——包装器材回收值比例; V——包装容器标准容重。 |